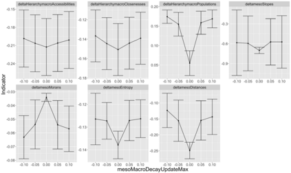
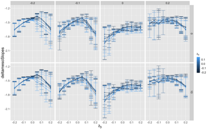
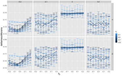
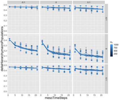
Urban evolution processes occur at different scales, with intricate interactions between levels and relatively distinct type of processes. To what extent actual urban dynamics include an actual strong coupling between scales, in the sense of both top-down and bottom-up feedbacks, remains an open issue with important practical implications for the sustainable management of territories. We introduce in this paper a multi-scalar simulation model of urban growth, coupling a system of cities interaction model at the macroscopic scale with morphogenesis models for the evolution of urban form at the scale of metropolitan areas. Strong coupling between scales is achieved through an update of model parameters at each scale depending on trajectories at the other scale. The model is applied and explored on synthetic systems of cities. Simulation results show a non-trivial effect of the strong coupling. As a consequence, an optimal action on policy parameters such as containing urban sprawl is shifted. We also run a multi-objective optimization algorithm on the model, showing showing that compromise between scales are captured. Our approach opens new research directions towards more operational urban dynamics models including a strong feedback between scales.


翻译:城市演变过程在不同规模上发生,不同层次和相对不同的过程类型之间有着错综复杂的相互作用。从上至下自下自上和自下自上而上反馈的意义上来说,实际城市动态在多大程度上包括各规模之间实际的强有力结合,仍然是一个尚未解决的问题,对领土的可持续管理具有重要的实际影响。我们在本文件中引入了多尺度的城市增长模拟模型,在宏观规模上将城市互动模型系统与大都市地区规模上的城市形态演变的模拟模型结合起来。通过更新各规模之间的模型参数,根据其他规模的轨迹,实现各规模之间的强有力结合。该模型在城市的合成系统中应用和探索。模拟结果表明,这种强烈的交错产生了非三角效应。因此,对政策参数(例如控制城市无线)采取最佳行动。我们还在模型上运行了一个多目标优化算法,显示各种规模之间的妥协得到了体现。我们的方法开启了新的研究方向,向更实用的城市动态模型,包括两个尺度之间的强烈反馈。

0
下载
关闭预览

相关内容

【斯坦福大学】矩阵对策的协调方法,89页pdf
专知会员服务
27+阅读 · 2020年9月18日
一份简单《图神经网络》教程,28页ppt
专知会员服务
127+阅读 · 2020年8月2日
Linux导论,Introduction to Linux,96页ppt
专知会员服务
82+阅读 · 2020年7月26日
【斯坦福大学】Gradient Surgery for Multi-Task Learning
专知会员服务
47+阅读 · 2020年1月23日
Stabilizing Transformers for Reinforcement Learning
专知会员服务
60+阅读 · 2019年10月17日
【哈佛大学商学院课程Fall 2019】机器学习可解释性
专知会员服务
105+阅读 · 2019年10月9日
CIKM2020推荐系统论文集合
机器学习与推荐算法
10+阅读 · 2020年10月13日
Hierarchically Structured Meta-learning
CreateAMind
27+阅读 · 2019年5月22日
Transferring Knowledge across Learning Processes
CreateAMind
29+阅读 · 2019年5月18日
论文浅尝 | Interaction Embeddings for Prediction and Explanation
开放知识图谱
11+阅读 · 2019年2月1日
强化学习的Unsupervised Meta-Learning
CreateAMind
18+阅读 · 2019年1月7日
A Technical Overview of AI & ML in 2018 & Trends for 2019
待字闺中
18+阅读 · 2018年12月24日
人工智能 | 国际会议信息10条
Call4Papers
5+阅读 · 2018年12月18日
【学习】Hierarchical Softmax
机器学习研究会
4+阅读 · 2017年8月6日
Auto-Encoding GAN
CreateAMind
7+阅读 · 2017年8月4日
【今日新增】IEEE Trans.专刊截稿信息8条
Call4Papers
7+阅读 · 2017年6月29日
Scalable computation for Bayesian hierarchical models
VIP会员
相关VIP内容
【斯坦福大学】矩阵对策的协调方法,89页pdf
专知会员服务
27+阅读 · 2020年9月18日
一份简单《图神经网络》教程,28页ppt
专知会员服务
127+阅读 · 2020年8月2日
Linux导论,Introduction to Linux,96页ppt
专知会员服务
82+阅读 · 2020年7月26日
【斯坦福大学】Gradient Surgery for Multi-Task Learning
专知会员服务
47+阅读 · 2020年1月23日
Stabilizing Transformers for Reinforcement Learning
专知会员服务
60+阅读 · 2019年10月17日
【哈佛大学商学院课程Fall 2019】机器学习可解释性
专知会员服务
105+阅读 · 2019年10月9日
相关资讯
CIKM2020推荐系统论文集合
机器学习与推荐算法
10+阅读 · 2020年10月13日
Hierarchically Structured Meta-learning
CreateAMind
27+阅读 · 2019年5月22日
Transferring Knowledge across Learning Processes
CreateAMind
29+阅读 · 2019年5月18日
论文浅尝 | Interaction Embeddings for Prediction and Explanation
开放知识图谱
11+阅读 · 2019年2月1日
强化学习的Unsupervised Meta-Learning
CreateAMind
18+阅读 · 2019年1月7日
A Technical Overview of AI & ML in 2018 & Trends for 2019
待字闺中
18+阅读 · 2018年12月24日
人工智能 | 国际会议信息10条
Call4Papers
5+阅读 · 2018年12月18日
【学习】Hierarchical Softmax
机器学习研究会
4+阅读 · 2017年8月6日
Auto-Encoding GAN
CreateAMind
7+阅读 · 2017年8月4日
【今日新增】IEEE Trans.专刊截稿信息8条
Call4Papers
7+阅读 · 2017年6月29日
Top
微信扫码咨询专知VIP会员