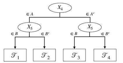
Survival data with time-varying covariates are common in practice. If relevant, they can improve on the estimation of survival function. However, the traditional survival forests - conditional inference forest, relative risk forest and random survival forest - have accommodated only time-invariant covariates. We generalize the conditional inference and relative risk forests to allow time-varying covariates. We also propose a general framework for estimation of a survival function in the presence of time-varying covariates. We compare their performance with that of the Cox model and transformation forest, adapted here to accommodate time-varying covariates, through a comprehensive simulation study in which the Kaplan-Meier estimate serves as a benchmark, and performance is compared using the integrated L2 difference between the true and estimated survival functions. In general, the performance of the two proposed forests substantially improves over the Kaplan-Meier estimate. Taking into account all other factors, under the proportional hazard (PH) setting, the best method is always one of the two proposed forests, while under the non-PH setting, it is the adapted transformation forest. K-fold cross-validation is used as an effective tool to choose between the methods in practice.


翻译:与时间变化的共变体一起生存数据在实践中很常见。如果相关的话,它们可以改进对生存功能的估计。然而,传统生存森林――有条件的推断森林、相对风险森林和随机生存森林――只容纳时间变化的共变体。我们普遍采用有条件的推断和相对风险森林,以便允许时间变化的共变体。我们还提出了一个在时间变化的共变体存在的情况下估计生存功能的一般框架。我们比较了它们与Cox模型和转化森林的绩效,并在此进行调整,以适应时间变化的共变森林,通过全面模拟研究,卡普兰-梅耶的估计作为基准,而业绩则使用真实和估计生存功能之间的综合L2差异进行比较。一般而言,拟议的两个森林的绩效比卡普兰-梅尔的估计大得多。考虑到所有其他因素,在相称的危害(PH)背景下,最佳方法始终是两种拟议森林中的一种,而在非PH设置下,最佳方法则是在非PH环境中选择改变森林的方法。K的交叉对比是有效的工具。

0
下载
关闭预览

相关内容

专知会员服务
90+阅读 · 2021年6月29日
强化学习最新教程,17页pdf
专知会员服务
182+阅读 · 2019年10月11日
VCIP 2022 Call for Special Session Proposals
CCF多媒体专委会
1+阅读 · 2022年4月1日
ACM MM 2022 Call for Papers
CCF多媒体专委会
5+阅读 · 2022年3月29日
ACM TOMM Call for Papers
CCF多媒体专委会
2+阅读 · 2022年3月23日
AIART 2022 Call for Papers
CCF多媒体专委会
1+阅读 · 2022年2月13日
Hierarchically Structured Meta-learning
CreateAMind
27+阅读 · 2019年5月22日
Transferring Knowledge across Learning Processes
CreateAMind
29+阅读 · 2019年5月18日
Unsupervised Learning via Meta-Learning
CreateAMind
43+阅读 · 2019年1月3日
A Technical Overview of AI & ML in 2018 & Trends for 2019
待字闺中
18+阅读 · 2018年12月24日
【论文】变分推断(Variational inference)的总结
机器学习研究会
39+阅读 · 2017年11月16日
国家自然科学基金
0+阅读 · 2016年12月31日
国家自然科学基金
2+阅读 · 2015年12月31日
国家自然科学基金
0+阅读 · 2014年12月31日
国家自然科学基金
0+阅读 · 2014年12月31日
国家自然科学基金
0+阅读 · 2013年12月31日
国家自然科学基金
1+阅读 · 2013年12月31日
国家自然科学基金
0+阅读 · 2012年12月31日
VIP会员
相关资讯
VCIP 2022 Call for Special Session Proposals
CCF多媒体专委会
1+阅读 · 2022年4月1日
ACM MM 2022 Call for Papers
CCF多媒体专委会
5+阅读 · 2022年3月29日
ACM TOMM Call for Papers
CCF多媒体专委会
2+阅读 · 2022年3月23日
AIART 2022 Call for Papers
CCF多媒体专委会
1+阅读 · 2022年2月13日
Hierarchically Structured Meta-learning
CreateAMind
27+阅读 · 2019年5月22日
Transferring Knowledge across Learning Processes
CreateAMind
29+阅读 · 2019年5月18日
Unsupervised Learning via Meta-Learning
CreateAMind
43+阅读 · 2019年1月3日
A Technical Overview of AI & ML in 2018 & Trends for 2019
待字闺中
18+阅读 · 2018年12月24日
【论文】变分推断(Variational inference)的总结
机器学习研究会
39+阅读 · 2017年11月16日
相关基金
国家自然科学基金
0+阅读 · 2016年12月31日
国家自然科学基金
2+阅读 · 2015年12月31日
国家自然科学基金
0+阅读 · 2014年12月31日
国家自然科学基金
0+阅读 · 2014年12月31日
国家自然科学基金
0+阅读 · 2013年12月31日
国家自然科学基金
1+阅读 · 2013年12月31日
国家自然科学基金
0+阅读 · 2012年12月31日
Top
微信扫码咨询专知VIP会员