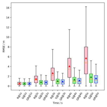
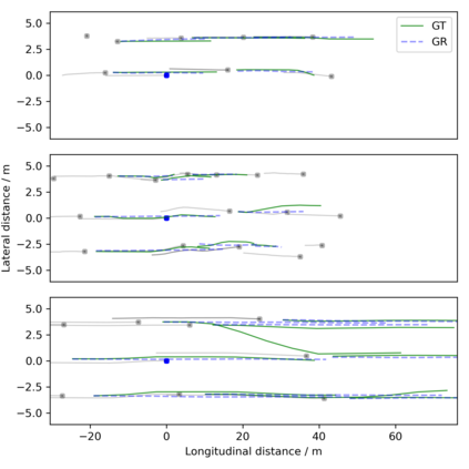
Integrating trajectory prediction to the decision-making and planning modules of modular autonomous driving systems is expected to improve the safety and efficiency of self-driving vehicles. However, a vehicle's future trajectory prediction is a challenging task since it is affected by the social interactive behaviors of neighboring vehicles, and the number of neighboring vehicles can vary in different situations. This work proposes a GNN-RNN based Encoder-Decoder network for interaction-aware trajectory prediction, where vehicles' dynamics features are extracted from their historical tracks using RNN, and the inter-vehicular interaction is represented by a directed graph and encoded using a GNN. The parallelism of GNN implies the proposed method's potential to predict multi-vehicular trajectories simultaneously. Evaluation on the dataset extracted from the NGSIM US-101 dataset shows that the proposed model is able to predict a target vehicle's trajectory in situations with a variable number of surrounding vehicles.


翻译:将轨迹预测纳入模块自主驾驶系统的决策和规划模块预计将提高自驾驶车辆的安全和效率,但车辆未来轨迹预测是一项艰巨的任务,因为它受到相邻车辆社会互动行为的影响,而且相邻车辆的数量在不同情况下会有所不同。 这项工作提议建立一个基于GNN-RNNN的Encoder-Decoder网络,用于互动观测轨迹预测,其中车辆的动态特征用RNN从其历史轨迹中提取,而车辆之间的相互作用则由使用GNN的定向图表和编码来体现。 GNN的平行性意味着拟议方法有可能同时预测多轨迹。 对NGSIM US-101数据集中提取的数据集的评估表明,拟议的模型能够在周围车辆数量不一的情况下预测目标车辆的轨迹。

0
下载
关闭预览

相关内容

IFIP TC13 Conference on Human-Computer Interaction是人机交互领域的研究者和实践者展示其工作的重要平台。多年来,这些会议吸引了来自几个国家和文化的研究人员。官网链接:http://interact2019.org/
【AAAI2021】Graph Diffusion Network提升交通流量预测精度
专知会员服务
54+阅读 · 2021年1月21日
深度强化学习策略梯度教程,53页ppt
专知会员服务
184+阅读 · 2020年2月1日
《DeepGCNs: Making GCNs Go as Deep as CNNs》
专知会员服务
31+阅读 · 2019年10月17日
内涵网络嵌入:Content-rich Network Embedding
我爱读PAMI
4+阅读 · 2019年11月5日
LibRec 精选:推荐系统的论文与源码
LibRec智能推荐
14+阅读 · 2018年11月29日
LibRec 精选:基于LSTM的序列推荐实现(PyTorch)
LibRec智能推荐
50+阅读 · 2018年8月27日
LibRec 精选:推荐的可解释性[综述]
LibRec智能推荐
10+阅读 · 2018年5月4日
carla无人驾驶模拟中文项目 carla_simulator_Chinese
CreateAMind
3+阅读 · 2018年1月30日
【推荐】用Tensorflow理解LSTM
机器学习研究会
36+阅读 · 2017年9月11日
【推荐】RNN/LSTM时序预测
机器学习研究会
25+阅读 · 2017年9月8日
【推荐】(Keras)LSTM多元时序预测教程
机器学习研究会
24+阅读 · 2017年8月14日
【今日新增】IEEE Trans.专刊截稿信息8条
Call4Papers
7+阅读 · 2017年6月29日
Arxiv
15+阅读 · 2021年6月27日
Arxiv
24+阅读 · 2018年10月24日
VIP会员
相关VIP内容
【AAAI2021】Graph Diffusion Network提升交通流量预测精度
专知会员服务
54+阅读 · 2021年1月21日
深度强化学习策略梯度教程,53页ppt
专知会员服务
184+阅读 · 2020年2月1日
《DeepGCNs: Making GCNs Go as Deep as CNNs》
专知会员服务
31+阅读 · 2019年10月17日
相关资讯
内涵网络嵌入:Content-rich Network Embedding
我爱读PAMI
4+阅读 · 2019年11月5日
LibRec 精选:推荐系统的论文与源码
LibRec智能推荐
14+阅读 · 2018年11月29日
LibRec 精选:基于LSTM的序列推荐实现(PyTorch)
LibRec智能推荐
50+阅读 · 2018年8月27日
LibRec 精选:推荐的可解释性[综述]
LibRec智能推荐
10+阅读 · 2018年5月4日
carla无人驾驶模拟中文项目 carla_simulator_Chinese
CreateAMind
3+阅读 · 2018年1月30日
【推荐】用Tensorflow理解LSTM
机器学习研究会
36+阅读 · 2017年9月11日
【推荐】RNN/LSTM时序预测
机器学习研究会
25+阅读 · 2017年9月8日
【推荐】(Keras)LSTM多元时序预测教程
机器学习研究会
24+阅读 · 2017年8月14日
【今日新增】IEEE Trans.专刊截稿信息8条
Call4Papers
7+阅读 · 2017年6月29日
Top
微信扫码咨询专知VIP会员