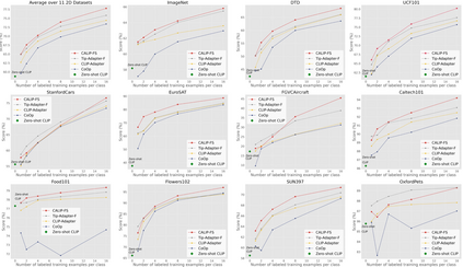
Contrastive Language-Image Pre-training (CLIP) has been shown to learn visual representations with great transferability, which achieves promising accuracy for zero-shot classification. To further improve its downstream performance, existing works propose additional learnable modules upon CLIP and fine-tune them by few-shot training sets. However, the resulting extra training cost and data requirement severely hinder the efficiency for model deployment and knowledge transfer. In this paper, we introduce a free-lunch enhancement method, CALIP, to boost CLIP's zero-shot performance via a parameter-free Attention module. Specifically, we guide visual and textual representations to interact with each other and explore cross-modal informative features via attention. As the pre-training has largely reduced the embedding distances between two modalities, we discard all learnable parameters in the attention and bidirectionally update the multi-modal features, enabling the whole process to be parameter-free and training-free. In this way, the images are blended with textual-aware signals and the text representations become visual-guided for better adaptive zero-shot alignment. We evaluate CALIP on various benchmarks of 14 datasets for both 2D image and 3D point cloud few-shot classification, showing consistent zero-shot performance improvement over CLIP. Based on that, we further insert a small number of linear layers in CALIP's attention module and verify our robustness under the few-shot settings, which also achieves leading performance compared to existing methods. Those extensive experiments demonstrate the superiority of our approach for efficient enhancement of CLIP.


翻译:实践显示,培训前语言图像(CLIP)学习视觉表现,具有很高的可转移性,在零发分级方面实现了很有希望的准确性;为进一步改善下游业绩,现有工作提议在CLIP上增加可学习模块,并微调这些模块,但由此产生的额外培训费用和数据要求严重阻碍了模型部署和知识转让的效率;在本文件中,我们引入了免费增强方法(CALIP),通过无参数关注模块提高CLIP的零发效果。具体地说,我们指导视觉和文字表达相互互动,通过关注探索跨模式信息特征。由于培训前的模块大大缩短了两个模式之间的嵌入距离,我们放弃所有可在关注和双向更新多模式特征的可学习参数,使整个进程成为无参数和无培训的。在本文中,图像与文字认知信号相结合,文本演示为更好地适应零发校正的设置。我们评估了CALIP的快速度,在C-D级分级标准下,在CAL级标准下持续地展示了CAL级升级标准。

0
下载
关闭预览

相关内容

零样本文本分类,Zero-Shot Learning for Text Classification
专知会员服务
97+阅读 · 2020年5月31日
100+篇《自监督学习(Self-Supervised Learning)》论文最新合集
专知会员服务
167+阅读 · 2020年3月18日
抢鲜看!13篇CVPR2020论文链接/开源代码/解读
专知会员服务
50+阅读 · 2020年2月26日
强化学习最新教程,17页pdf
专知会员服务
182+阅读 · 2019年10月11日
[综述]深度学习下的场景文本检测与识别
专知会员服务
78+阅读 · 2019年10月10日
【哈佛大学商学院课程Fall 2019】机器学习可解释性
专知会员服务
105+阅读 · 2019年10月9日
【SIGGRAPH2019】TensorFlow 2.0深度学习计算机图形学应用
专知会员服务
41+阅读 · 2019年10月9日
【ICIG2021】Latest News & Announcements of the Tutorial
中国图象图形学学会CSIG
3+阅读 · 2021年12月20日
【ICIG2021】Check out the hot new trailer of ICIG2021 Symposium8
中国图象图形学学会CSIG
0+阅读 · 2021年11月16日
【ICIG2021】Check out the hot new trailer of ICIG2021 Symposium7
中国图象图形学学会CSIG
0+阅读 · 2021年11月15日
【ICIG2021】Check out the hot new trailer of ICIG2021 Symposium6
中国图象图形学学会CSIG
2+阅读 · 2021年11月12日
【ICIG2021】Check out the hot new trailer of ICIG2021 Symposium3
中国图象图形学学会CSIG
0+阅读 · 2021年11月9日
【ICIG2021】Check out the hot new trailer of ICIG2021 Symposium1
中国图象图形学学会CSIG
0+阅读 · 2021年11月3日
Hierarchically Structured Meta-learning
CreateAMind
27+阅读 · 2019年5月22日
Transferring Knowledge across Learning Processes
CreateAMind
29+阅读 · 2019年5月18日
Unsupervised Learning via Meta-Learning
CreateAMind
43+阅读 · 2019年1月3日
A Technical Overview of AI & ML in 2018 & Trends for 2019
待字闺中
18+阅读 · 2018年12月24日
国家自然科学基金
0+阅读 · 2014年12月31日
国家自然科学基金
0+阅读 · 2013年12月31日
国家自然科学基金
0+阅读 · 2013年12月31日
国家自然科学基金
1+阅读 · 2013年12月31日
国家自然科学基金
0+阅读 · 2012年12月31日
国家自然科学基金
0+阅读 · 2009年12月31日
国家自然科学基金
1+阅读 · 2008年12月31日
Arxiv
17+阅读 · 2021年2月15日
Arxiv
13+阅读 · 2019年11月14日
Arxiv
10+阅读 · 2017年7月4日
VIP会员
相关VIP内容
零样本文本分类,Zero-Shot Learning for Text Classification
专知会员服务
97+阅读 · 2020年5月31日
100+篇《自监督学习(Self-Supervised Learning)》论文最新合集
专知会员服务
167+阅读 · 2020年3月18日
抢鲜看!13篇CVPR2020论文链接/开源代码/解读
专知会员服务
50+阅读 · 2020年2月26日
强化学习最新教程,17页pdf
专知会员服务
182+阅读 · 2019年10月11日
[综述]深度学习下的场景文本检测与识别
专知会员服务
78+阅读 · 2019年10月10日
【哈佛大学商学院课程Fall 2019】机器学习可解释性
专知会员服务
105+阅读 · 2019年10月9日
【SIGGRAPH2019】TensorFlow 2.0深度学习计算机图形学应用
专知会员服务
41+阅读 · 2019年10月9日
相关资讯
【ICIG2021】Latest News & Announcements of the Tutorial
中国图象图形学学会CSIG
3+阅读 · 2021年12月20日
【ICIG2021】Check out the hot new trailer of ICIG2021 Symposium8
中国图象图形学学会CSIG
0+阅读 · 2021年11月16日
【ICIG2021】Check out the hot new trailer of ICIG2021 Symposium7
中国图象图形学学会CSIG
0+阅读 · 2021年11月15日
【ICIG2021】Check out the hot new trailer of ICIG2021 Symposium6
中国图象图形学学会CSIG
2+阅读 · 2021年11月12日
【ICIG2021】Check out the hot new trailer of ICIG2021 Symposium3
中国图象图形学学会CSIG
0+阅读 · 2021年11月9日
【ICIG2021】Check out the hot new trailer of ICIG2021 Symposium1
中国图象图形学学会CSIG
0+阅读 · 2021年11月3日
Hierarchically Structured Meta-learning
CreateAMind
27+阅读 · 2019年5月22日
Transferring Knowledge across Learning Processes
CreateAMind
29+阅读 · 2019年5月18日
Unsupervised Learning via Meta-Learning
CreateAMind
43+阅读 · 2019年1月3日
A Technical Overview of AI & ML in 2018 & Trends for 2019
待字闺中
18+阅读 · 2018年12月24日
相关基金
国家自然科学基金
0+阅读 · 2014年12月31日
国家自然科学基金
0+阅读 · 2013年12月31日
国家自然科学基金
0+阅读 · 2013年12月31日
国家自然科学基金
1+阅读 · 2013年12月31日
国家自然科学基金
0+阅读 · 2012年12月31日
国家自然科学基金
0+阅读 · 2009年12月31日
国家自然科学基金
1+阅读 · 2008年12月31日
Top
微信扫码咨询专知VIP会员