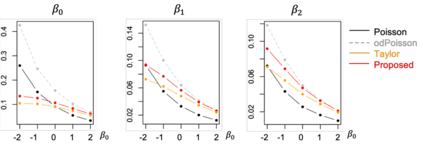
In the era of open data, Poisson and other count regression models are increasingly important. Provided this, we develop a closed-form inference for an over-dispersed Poisson regression, especially for (over-dispersed) Bayesian Poisson wherein the exact inference is unobtainable. The approach is derived via mode-based log-Gaussian approximation. Unlike closed-form alternatives, it remains accurate even for zero-inflated count data. Besides, our approach has no arbitrary parameter that must be determined a priori. Monte Carlo experiments demonstrate that the estimation error of the proposed method is a considerably smaller estimation error than the closed-form alternatives and as small as the usual Poisson regressions. We obtained similar results in the case of Poisson additive mixed modeling considering spatial or group effects. The developed method was applied for analyzing COVID-19 data in Japan. This result suggests that influences of pedestrian density, age, and other factors on the number of cases change over periods.


翻译:在开放数据时代, Poisson 和其他计数回归模型越来越重要。 如果是这样的话,我们就为超分散的 Poisson 回归模型,特别是(超分散的) Bayesian Poisson 开发一种封闭式的推论,其中精确推论是无法实现的。该方法通过基于模式的日志- Gausian 近似法产生。与封闭式的替代方法不同,它甚至对零膨胀计数数据也仍然准确。此外,我们的方法没有必须预先确定的任意参数。蒙特卡洛实验表明,拟议方法的估计误差比封闭式替代方法要小得多,与通常的Poisson 回归法一样小。我们从Poisson 混合混合模型中取得了类似的结果,考虑到空间或群体效应。在日本分析COVID-19数据时采用了发达的方法。这说明行人密度、年龄和其他因素对不同时期变化案例数量的影响。

0
下载
关闭预览

相关内容

专知会员服务
51+阅读 · 2020年12月14日
机器学习的可解释性
专知会员服务
178+阅读 · 2020年8月27日
强化学习最新教程,17页pdf
专知会员服务
182+阅读 · 2019年10月11日
IEEE | DSC 2019诚邀稿件 (EI检索)
Call4Papers
10+阅读 · 2019年2月25日
A Technical Overview of AI & ML in 2018 & Trends for 2019
待字闺中
18+阅读 · 2018年12月24日
Disentangled的假设的探讨
CreateAMind
9+阅读 · 2018年12月10日
笔记 | Sentiment Analysis
黑龙江大学自然语言处理实验室
10+阅读 · 2018年5月6日
Hierarchical Disentangled Representations
CreateAMind
4+阅读 · 2018年4月15日
【CNN】一文读懂卷积神经网络CNN
产业智能官
18+阅读 · 2018年1月2日
计算机视觉近一年进展综述
机器学习研究会
9+阅读 · 2017年11月25日
可解释的CNN
CreateAMind
17+阅读 · 2017年10月5日
【推荐】MXNet深度情感分析实战
机器学习研究会
16+阅读 · 2017年10月4日
Arxiv
0+阅读 · 2021年8月18日
Arxiv
0+阅读 · 2021年8月15日
Implicit Maximum Likelihood Estimation
Arxiv
7+阅读 · 2018年9月24日
Arxiv
3+阅读 · 2014年10月9日
VIP会员
相关资讯
IEEE | DSC 2019诚邀稿件 (EI检索)
Call4Papers
10+阅读 · 2019年2月25日
A Technical Overview of AI & ML in 2018 & Trends for 2019
待字闺中
18+阅读 · 2018年12月24日
Disentangled的假设的探讨
CreateAMind
9+阅读 · 2018年12月10日
笔记 | Sentiment Analysis
黑龙江大学自然语言处理实验室
10+阅读 · 2018年5月6日
Hierarchical Disentangled Representations
CreateAMind
4+阅读 · 2018年4月15日
【CNN】一文读懂卷积神经网络CNN
产业智能官
18+阅读 · 2018年1月2日
计算机视觉近一年进展综述
机器学习研究会
9+阅读 · 2017年11月25日
可解释的CNN
CreateAMind
17+阅读 · 2017年10月5日
【推荐】MXNet深度情感分析实战
机器学习研究会
16+阅读 · 2017年10月4日
Top
微信扫码咨询专知VIP会员