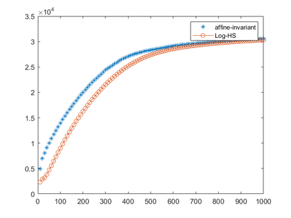
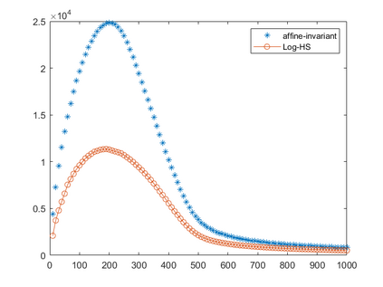
In this work we study two Riemannian distances between infinite-dimensional positive definite Hilbert-Schmidt operators, namely affine-invariant Riemannian and Log-Hilbert-Schmidt distances, in the context of covariance operators associated with functional stochastic processes, in particular Gaussian processes. Our first main results show that both distances converge in the Hilbert-Schmidt norm. Using concentration results for Hilbert space-valued random variables, we then show that both distances can be consistently and efficiently estimated from (i) sample covariance operators, (ii) finite, normalized covariance matrices, and (iii) finite samples generated by the given processes, all with dimension-independent convergence. Our theoretical analysis exploits extensively the methodology of reproducing kernel Hilbert space (RKHS) covariance and cross-covariance operators. The theoretical formulation is illustrated with numerical experiments on covariance operators of Gaussian processes.


翻译:在这项工作中,我们研究了与功能随机过程,特别是高森过程相关的共变操作员之间无限正向的Hilbert-Schmidt-Hilbert-Schmidt操作员与Log-Hilbert-Schmidt操作员之间的两处里曼尼的距离。我们的第一个主要结果显示,这两处距离都与Hilbert-Schmidt规范相融合。利用Hilbert空间估价随机变量的浓度结果,我们然后表明,从(一) 抽样共变操作员、(二) 定数、常态共变数矩阵和(三) 给定过程产生的定数样本中可以持续和有效地估算出两者的距离,这些样本都具有维独立的趋同。我们的理论分析广泛利用了再生产Hilbert空间(RKHS)常变数和交叉变数操作员的方法。关于高森过程共变数操作员的数字实验说明了理论的表述。

1
下载
关闭预览

相关内容

专知会员服务
78+阅读 · 2021年3月16日
【MIT经典书】统计学习与序列预测,261页pdf
专知会员服务
78+阅读 · 2020年11月17日
Fariz Darari简明《博弈论Game Theory》介绍,35页ppt
专知会员服务
112+阅读 · 2020年5月15日
Python分布式计算,171页pdf,Distributed Computing with Python
专知会员服务
108+阅读 · 2020年5月3日
专知会员服务
63+阅读 · 2020年3月4日
强化学习最新教程,17页pdf
专知会员服务
182+阅读 · 2019年10月11日
Disentangled的假设的探讨
CreateAMind
9+阅读 · 2018年12月10日
disentangled-representation-papers
CreateAMind
26+阅读 · 2018年9月12日
【NIPS2018】接收论文列表
专知
5+阅读 · 2018年9月10日
Hierarchical Disentangled Representations
CreateAMind
4+阅读 · 2018年4月15日
机器学习线性代数速查
机器学习研究会
19+阅读 · 2018年2月25日
Adversarial Variational Bayes: Unifying VAE and GAN 代码
CreateAMind
7+阅读 · 2017年10月4日
【推荐】免费书(草稿):数据科学的数学基础
机器学习研究会
20+阅读 · 2017年10月1日
【推荐】决策树/随机森林深入解析
机器学习研究会
5+阅读 · 2017年9月21日
【学习】Hierarchical Softmax
机器学习研究会
4+阅读 · 2017年8月6日
Auto-Encoding GAN
CreateAMind
7+阅读 · 2017年8月4日
Arxiv
0+阅读 · 2021年10月18日
Arxiv
0+阅读 · 2021年10月18日
Arxiv
0+阅读 · 2021年10月15日
Arxiv
0+阅读 · 2021年9月14日
VIP会员
相关VIP内容
专知会员服务
78+阅读 · 2021年3月16日
【MIT经典书】统计学习与序列预测,261页pdf
专知会员服务
78+阅读 · 2020年11月17日
Fariz Darari简明《博弈论Game Theory》介绍,35页ppt
专知会员服务
112+阅读 · 2020年5月15日
Python分布式计算,171页pdf,Distributed Computing with Python
专知会员服务
108+阅读 · 2020年5月3日
专知会员服务
63+阅读 · 2020年3月4日
强化学习最新教程,17页pdf
专知会员服务
182+阅读 · 2019年10月11日
相关资讯
Disentangled的假设的探讨
CreateAMind
9+阅读 · 2018年12月10日
disentangled-representation-papers
CreateAMind
26+阅读 · 2018年9月12日
【NIPS2018】接收论文列表
专知
5+阅读 · 2018年9月10日
Hierarchical Disentangled Representations
CreateAMind
4+阅读 · 2018年4月15日
机器学习线性代数速查
机器学习研究会
19+阅读 · 2018年2月25日
Adversarial Variational Bayes: Unifying VAE and GAN 代码
CreateAMind
7+阅读 · 2017年10月4日
【推荐】免费书(草稿):数据科学的数学基础
机器学习研究会
20+阅读 · 2017年10月1日
【推荐】决策树/随机森林深入解析
机器学习研究会
5+阅读 · 2017年9月21日
【学习】Hierarchical Softmax
机器学习研究会
4+阅读 · 2017年8月6日
Auto-Encoding GAN
CreateAMind
7+阅读 · 2017年8月4日
Top
微信扫码咨询专知VIP会员