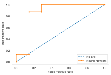
Functional Near-Infrared Spectroscopy (fNIRS) is a non-invasive form of Brain-Computer Interface (BCI). It is used for the imaging of brain hemodynamics and has gained popularity due to the certain pros it poses over other similar technologies. The overall functionalities encompass the capture, processing and classification of brain signals. Since hemodynamic responses are contaminated by physiological noises, several methods have been implemented in the past literature to classify the responses in focus from the unwanted ones. However, the methods, thus far does not take into consideration the uncertainty in the data or model parameters. In this paper, we use a Bayesian Neural Network (BNN) to carry out a binary classification on an open-access dataset, consisting of unilateral finger tapping (left- and right-hand finger tapping). A BNN uses Bayesian statistics to assign a probability distribution to the network weights instead of a point estimate. In this way, it takes data and model uncertainty into consideration while carrying out the classification. We used Variational Inference (VI) to train our model. Our model produced an overall classification accuracy of 86.44% over 30 volunteers. We illustrated how the evidence lower bound (ELBO) function of the model converges over iterations. We further illustrated the uncertainty that is inherent during the sampling of the posterior distribution of the weights. We also generated a ROC curve for our BNN classifier using test data from a single volunteer and our model has an AUC score of 0.855.


翻译:近红外光谱仪(fNIRS)功能性近红外光谱仪(FNIRS)是一种非侵入性的大脑-计算机界面(BCI)形式。它用于脑电动成像,由于它与其他类似技术相比具有一定的优点而越来越受欢迎。它的总体功能包括大脑信号的捕捉、处理和分类。由于血液动力反应受到生理噪音的污染,在过去的文献中已经采用了几种方法,将反应与不受欢迎的反应区分为焦点。然而,迄今为止,这种方法没有考虑到数据或模型参数的不确定性。在本文件中,我们使用Bayesian Neural网络(BNNN)在开放访问数据集上进行二元分类,包括单向手指取用(左手和右手手指取用)。由于BNNE统计数据的概率变化,B的数值和模型在进行分类时,我们用Variation(VI)来训练我们的模型。我们模型的精确度的精确度也用OIL的精确度,我们用OIL的精确度 30 的精确度,我们用O的精确度的精确度的精确度做了一个比VI 。

0
下载
关闭预览

相关内容

ACM/IEEE第23届模型驱动工程语言和系统国际会议,是模型驱动软件和系统工程的首要会议系列,由ACM-SIGSOFT和IEEE-TCSE支持组织。自1998年以来,模型涵盖了建模的各个方面,从语言和方法到工具和应用程序。模特的参加者来自不同的背景,包括研究人员、学者、工程师和工业专业人士。MODELS 2019是一个论坛,参与者可以围绕建模和模型驱动的软件和系统交流前沿研究成果和创新实践经验。今年的版本将为建模社区提供进一步推进建模基础的机会,并在网络物理系统、嵌入式系统、社会技术系统、云计算、大数据、机器学习、安全、开源等新兴领域提出建模的创新应用以及可持续性。 官网链接:http://www.modelsconference.org/
【干货书】机器学习速查手册,135页pdf
专知会员服务
127+阅读 · 2020年11月20日
【KDD2020】TAdaNet: 用于图增强元学习的任务自适应网络
专知会员服务
18+阅读 · 2020年9月21日
知识图谱推理,50页ppt,Salesforce首席科学家Richard Socher
专知会员服务
111+阅读 · 2020年6月10日
【清华大学】图随机神经网络,Graph Random Neural Networks
专知会员服务
156+阅读 · 2020年5月26日
专知会员服务
61+阅读 · 2020年3月19日
【论文笔记】通俗理解少样本文本分类 (Few-Shot Text Classification) (1)
深度学习自然语言处理
7+阅读 · 2020年4月8日
Hierarchically Structured Meta-learning
CreateAMind
27+阅读 · 2019年5月22日
IEEE | DSC 2019诚邀稿件 (EI检索)
Call4Papers
10+阅读 · 2019年2月25日
逆强化学习-学习人先验的动机
CreateAMind
16+阅读 · 2019年1月18日
Hierarchical Disentangled Representations
CreateAMind
4+阅读 · 2018年4月15日
条件GAN重大改进!cGANs with Projection Discriminator
CreateAMind
8+阅读 · 2018年2月7日
【论文】变分推断(Variational inference)的总结
机器学习研究会
39+阅读 · 2017年11月16日
【推荐】决策树/随机森林深入解析
机器学习研究会
5+阅读 · 2017年9月21日
【学习】Hierarchical Softmax
机器学习研究会
4+阅读 · 2017年8月6日
Auto-Encoding GAN
CreateAMind
7+阅读 · 2017年8月4日
Arxiv
7+阅读 · 2019年6月20日
Arxiv
3+阅读 · 2018年8月17日
Arxiv
19+阅读 · 2018年6月27日
VIP会员
相关资讯
【论文笔记】通俗理解少样本文本分类 (Few-Shot Text Classification) (1)
深度学习自然语言处理
7+阅读 · 2020年4月8日
Hierarchically Structured Meta-learning
CreateAMind
27+阅读 · 2019年5月22日
IEEE | DSC 2019诚邀稿件 (EI检索)
Call4Papers
10+阅读 · 2019年2月25日
逆强化学习-学习人先验的动机
CreateAMind
16+阅读 · 2019年1月18日
Hierarchical Disentangled Representations
CreateAMind
4+阅读 · 2018年4月15日
条件GAN重大改进!cGANs with Projection Discriminator
CreateAMind
8+阅读 · 2018年2月7日
【论文】变分推断(Variational inference)的总结
机器学习研究会
39+阅读 · 2017年11月16日
【推荐】决策树/随机森林深入解析
机器学习研究会
5+阅读 · 2017年9月21日
【学习】Hierarchical Softmax
机器学习研究会
4+阅读 · 2017年8月6日
Auto-Encoding GAN
CreateAMind
7+阅读 · 2017年8月4日
Top
微信扫码咨询专知VIP会员