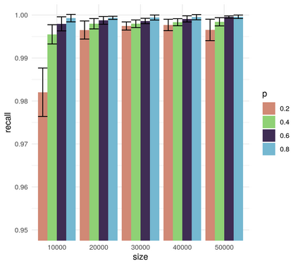
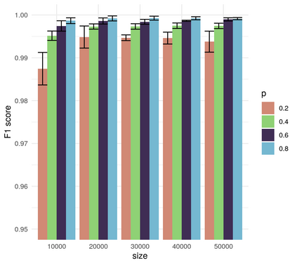
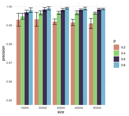
In this work we looked into a dataset of 114 thousands of suspicious messages collected from the most popular closed messaging platform in Taiwan between January and July, 2020. We proposed an hybrid algorithm that could efficiently cluster a large number of text messages according their topics and narratives. That is, we obtained groups of messages that are within a limited content alterations within each other. By employing the algorithm to the dataset, we were able to look at the content alterations and the temporal dynamics of each particular rumor over time. With qualitative case studies of three COVID-19 related rumors, we have found that key authoritative figures were often misquoted in false information. It was an effective measure to increase the popularity of one false information. In addition, fact-check was not effective in stopping misinformation from getting attention. In fact, the popularity of one false information was often more influenced by major societal events and effective content alterations.


翻译:在这项工作中,我们研究了从2020年1月至7月在台湾最流行的封闭信息平台收集的一亿四千条可疑信息数据集,我们建议采用混合算法,根据主题和叙事将大量文字信息有效组合在一起。也就是说,我们获得的一组信息在有限的内容内部作了有限的修改。通过对数据集使用算法,我们得以看一看每个特定谣言的内容变化和时间动态。通过对三个与COVID-19相关的流言进行定性案例研究,我们发现关键权威人物常常在虚假信息中被错误引用。这是提高一个虚假信息的受欢迎程度的有效措施。此外,事实检查对于阻止错误信息引起注意是无效的。事实上,一个错误信息的受欢迎程度往往受到重大社会事件和有效内容改变的影响更大。

0
下载
关闭预览

相关内容

专知会员服务
96+阅读 · 2021年2月6日
生成对抗网络GAN在各领域应用研究进展(中文版),37页pdf
专知会员服务
151+阅读 · 2020年12月30日
专知会员服务
41+阅读 · 2020年9月6日
Linux导论,Introduction to Linux,96页ppt
专知会员服务
82+阅读 · 2020年7月26日
[综述]深度学习下的场景文本检测与识别
专知会员服务
78+阅读 · 2019年10月10日
最新BERT相关论文清单,BERT-related Papers
专知会员服务
53+阅读 · 2019年9月29日
计算机 | 入门级EI会议ICVRIS 2019诚邀稿件
Call4Papers
10+阅读 · 2019年6月24日
Hierarchically Structured Meta-learning
CreateAMind
27+阅读 · 2019年5月22日
人工智能 | ISAIR 2019诚邀稿件(推荐SCI期刊)
Call4Papers
6+阅读 · 2019年4月1日
人工智能 | SCI期刊专刊信息3条
Call4Papers
5+阅读 · 2019年1月10日
计算机类 | ISCC 2019等国际会议信息9条
Call4Papers
5+阅读 · 2018年12月25日
A Technical Overview of AI & ML in 2018 & Trends for 2019
待字闺中
18+阅读 · 2018年12月24日
人工智能 | PRICAI 2019等国际会议信息9条
Call4Papers
6+阅读 · 2018年12月13日
【计算机类】期刊专刊/国际会议截稿信息6条
Call4Papers
3+阅读 · 2017年10月13日
【今日新增】IEEE Trans.专刊截稿信息8条
Call4Papers
7+阅读 · 2017年6月29日
Arxiv
1+阅读 · 2021年6月17日
Arxiv
10+阅读 · 2020年4月5日
VIP会员
相关VIP内容
专知会员服务
96+阅读 · 2021年2月6日
生成对抗网络GAN在各领域应用研究进展(中文版),37页pdf
专知会员服务
151+阅读 · 2020年12月30日
专知会员服务
41+阅读 · 2020年9月6日
Linux导论,Introduction to Linux,96页ppt
专知会员服务
82+阅读 · 2020年7月26日
[综述]深度学习下的场景文本检测与识别
专知会员服务
78+阅读 · 2019年10月10日
最新BERT相关论文清单,BERT-related Papers
专知会员服务
53+阅读 · 2019年9月29日
相关资讯
计算机 | 入门级EI会议ICVRIS 2019诚邀稿件
Call4Papers
10+阅读 · 2019年6月24日
Hierarchically Structured Meta-learning
CreateAMind
27+阅读 · 2019年5月22日
人工智能 | ISAIR 2019诚邀稿件(推荐SCI期刊)
Call4Papers
6+阅读 · 2019年4月1日
人工智能 | SCI期刊专刊信息3条
Call4Papers
5+阅读 · 2019年1月10日
计算机类 | ISCC 2019等国际会议信息9条
Call4Papers
5+阅读 · 2018年12月25日
A Technical Overview of AI & ML in 2018 & Trends for 2019
待字闺中
18+阅读 · 2018年12月24日
人工智能 | PRICAI 2019等国际会议信息9条
Call4Papers
6+阅读 · 2018年12月13日
【计算机类】期刊专刊/国际会议截稿信息6条
Call4Papers
3+阅读 · 2017年10月13日
【今日新增】IEEE Trans.专刊截稿信息8条
Call4Papers
7+阅读 · 2017年6月29日
Top
微信扫码咨询专知VIP会员