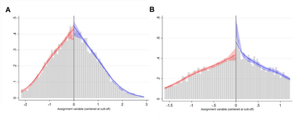
Regression discontinuity design (RDD) is a quasi-experimental approach to study the causal effects of an intervention/treatment on later health outcomes. It exploits a continuously measured assignment variable with a clearly defined cut-off above or below which the population is at least partially assigned to the intervention/treatment. We describe the RDD and outline the applications of RDD in the context of perinatal epidemiology and birth cohort research. There is an increasing number of studies using RDD in perinatal and pediatric epidemiology. Most of these studies were conducted in the context of education, social and welfare policies, healthcare organization, insurance, and preventive programs. Additional thematic fields include clinically relevant research questions, shock events, social and environmental factors, and changes in guidelines. Maternal and perinatal characteristics, such as age, birth weight and gestational age are frequently used assignment variables to study the effects of the type and intensity of neonatal care, health insurance, and supplemental newborn benefits. Different socioeconomic measures have been used to study the effects of social, welfare and cash transfer programs, while age or date of birth served as assignment variables to study the effects of vaccination programs, pregnancy-specific guidelines, maternity and paternity leave policies and introduction of newborn-based welfare programs. RDD has advantages, including relatively weak and testable assumptions, strong internal validity, intuitive interpretation, and transparent and simple graphical representation. However, its use in birth cohort research is hampered by the rarity of settings outside of policy and program evaluations, low statistical power, limited external validity (geographic- and time-specific settings) and potential contamination by other exposures/interventions.


翻译:在围产期流行病学和新生儿组群研究中,我们描述RDD,并概述RDD在围产期和新生儿组群研究中的应用情况;在围产期和儿科流行病学中,使用RDD的研究越来越多;这些研究大多在教育、社会和福利政策、保健组织、保险和预防方案的背景下进行;其他专题领域包括临床相关研究、冲击事件、社会和环境因素以及准则的变化;孕产妇和围产期特点,如年龄、出生体重和妊娠年龄,经常使用分配变量研究新生儿护理类型和强度、医疗保险和补充新生儿福利的影响;在围产期和儿科流行病学中,使用RDDD进行的研究越来越多;在教育、社会和福利政策、保健组织、保险和预防性方案背景下进行的大多数研究;其他专题领域包括临床相关研究、冲击事件、社会和环境因素以及准则的改变;孕产妇和围产期特点,例如年龄、出生期体重和妊娠体重和妊娠年龄年龄年龄等,通过基于生育年龄或出生年龄的生理结构的深度评估,以及基于生殖健康方案、妊娠特定年龄和生育环境的较强的外部评估;此外,在生殖健康和陪产期测试方案中,采用较严格的方案,包括基于可选择的较强的、可计量方案,采用较强的、可计量和陪产期方案。

0
下载
关闭预览

相关内容

让 iOS 8 和 OS X Yosemite 无缝切换的一个新特性。 > Apple products have always been designed to work together beautifully. But now they may really surprise you. With iOS 8 and OS X Yosemite, you’ll be able to do more wonderful things than ever before.

Source: Apple - iOS 8
不可错过!700+ppt《因果推理》课程!杜克大学Fan Li教程
专知会员服务
72+阅读 · 2022年7月11日
不可错过!《机器学习100讲》课程,UBC Mark Schmidt讲授
专知会员服务
76+阅读 · 2022年6月28日
Linux导论,Introduction to Linux,96页ppt
专知会员服务
82+阅读 · 2020年7月26日
专知会员服务
162+阅读 · 2020年1月16日
《DeepGCNs: Making GCNs Go as Deep as CNNs》
专知会员服务
31+阅读 · 2019年10月17日
【哈佛大学商学院课程Fall 2019】机器学习可解释性
专知会员服务
105+阅读 · 2019年10月9日
【SIGGRAPH2019】TensorFlow 2.0深度学习计算机图形学应用
专知会员服务
41+阅读 · 2019年10月9日
VCIP 2022 Call for Demos
CCF多媒体专委会
1+阅读 · 2022年6月6日
IEEE ICKG 2022: Call for Papers
机器学习与推荐算法
3+阅读 · 2022年3月30日
ACM MM 2022 Call for Papers
CCF多媒体专委会
5+阅读 · 2022年3月29日
IEEE TII Call For Papers
CCF多媒体专委会
3+阅读 · 2022年3月24日
AIART 2022 Call for Papers
CCF多媒体专委会
1+阅读 · 2022年2月13日
【ICIG2021】Check out the hot new trailer of ICIG2021 Symposium6
中国图象图形学学会CSIG
2+阅读 · 2021年11月12日
【ICIG2021】Check out the hot new trailer of ICIG2021 Symposium1
中国图象图形学学会CSIG
0+阅读 · 2021年11月3日
【ICIG2021】Latest News & Announcements of the Industry Talk1
中国图象图形学学会CSIG
0+阅读 · 2021年7月28日
Hierarchically Structured Meta-learning
CreateAMind
27+阅读 · 2019年5月22日
A Technical Overview of AI & ML in 2018 & Trends for 2019
待字闺中
18+阅读 · 2018年12月24日
国家自然科学基金
0+阅读 · 2013年12月31日
国家自然科学基金
0+阅读 · 2013年12月31日
国家自然科学基金
0+阅读 · 2013年12月31日
国家自然科学基金
0+阅读 · 2013年12月31日
国家自然科学基金
0+阅读 · 2012年12月31日
国家自然科学基金
0+阅读 · 2012年12月31日
国家自然科学基金
0+阅读 · 2008年12月31日
VIP会员
相关VIP内容
不可错过!700+ppt《因果推理》课程!杜克大学Fan Li教程
专知会员服务
72+阅读 · 2022年7月11日
不可错过!《机器学习100讲》课程,UBC Mark Schmidt讲授
专知会员服务
76+阅读 · 2022年6月28日
Linux导论,Introduction to Linux,96页ppt
专知会员服务
82+阅读 · 2020年7月26日
专知会员服务
162+阅读 · 2020年1月16日
《DeepGCNs: Making GCNs Go as Deep as CNNs》
专知会员服务
31+阅读 · 2019年10月17日
【哈佛大学商学院课程Fall 2019】机器学习可解释性
专知会员服务
105+阅读 · 2019年10月9日
【SIGGRAPH2019】TensorFlow 2.0深度学习计算机图形学应用
专知会员服务
41+阅读 · 2019年10月9日
相关资讯
VCIP 2022 Call for Demos
CCF多媒体专委会
1+阅读 · 2022年6月6日
IEEE ICKG 2022: Call for Papers
机器学习与推荐算法
3+阅读 · 2022年3月30日
ACM MM 2022 Call for Papers
CCF多媒体专委会
5+阅读 · 2022年3月29日
IEEE TII Call For Papers
CCF多媒体专委会
3+阅读 · 2022年3月24日
AIART 2022 Call for Papers
CCF多媒体专委会
1+阅读 · 2022年2月13日
【ICIG2021】Check out the hot new trailer of ICIG2021 Symposium6
中国图象图形学学会CSIG
2+阅读 · 2021年11月12日
【ICIG2021】Check out the hot new trailer of ICIG2021 Symposium1
中国图象图形学学会CSIG
0+阅读 · 2021年11月3日
【ICIG2021】Latest News & Announcements of the Industry Talk1
中国图象图形学学会CSIG
0+阅读 · 2021年7月28日
Hierarchically Structured Meta-learning
CreateAMind
27+阅读 · 2019年5月22日
A Technical Overview of AI & ML in 2018 & Trends for 2019
待字闺中
18+阅读 · 2018年12月24日
相关基金
国家自然科学基金
0+阅读 · 2013年12月31日
国家自然科学基金
0+阅读 · 2013年12月31日
国家自然科学基金
0+阅读 · 2013年12月31日
国家自然科学基金
0+阅读 · 2013年12月31日
国家自然科学基金
0+阅读 · 2012年12月31日
国家自然科学基金
0+阅读 · 2012年12月31日
国家自然科学基金
0+阅读 · 2008年12月31日
Top
微信扫码咨询专知VIP会员