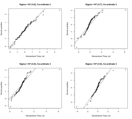
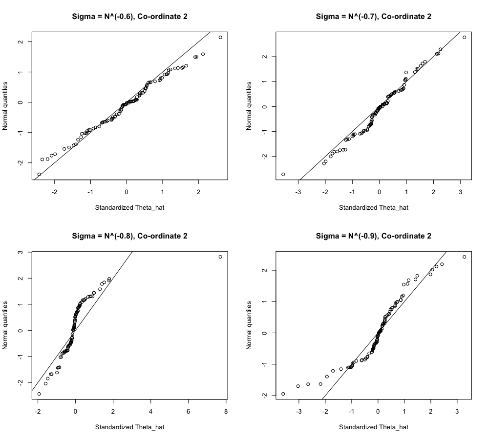
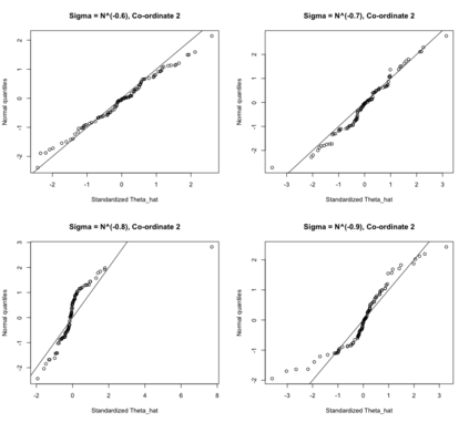
Linear thresholding models postulate that the conditional distribution of a response variable in terms of covariates differs on the two sides of a (typically unknown) hyperplane in the covariate space. A key goal in such models is to learn about this separating hyperplane. Exact likelihood or least squares methods to estimate the thresholding parameter involve an indicator function which make them difficult to optimize and are, therefore, often tackled by using a surrogate loss that uses a smooth approximation to the indicator. In this paper, we demonstrate that the resulting estimator is asymptotically normal with a near optimal rate of convergence: $n^{-1}$ up to a log factor, in both classification and regression thresholding models. This is substantially faster than the currently established convergence rates of smoothed estimators for similar models in the statistics and econometrics literatures. We also present a real-data application of our approach to an environmental data set where $CO_2$ emission is explained in terms of a separating hyperplane defined through per-capita GDP and urban agglomeration.


翻译:线性阈值模型假设,在共变空间中,一个反应变量的有条件分布在共变空间中(通常不为人知的)超高平面的两侧不同。这种模型的一个关键目标是了解这一分离的超高平面。估计阈值参数的精确可能性或最小方形方法涉及一个指标功能,使其难以优化,因此,往往通过使用对指标使用平稳近似的代位损失来解决。在本文中,我们证明,由此得出的估计值是尽可能正常的,几乎最佳的趋同率:在分类和回归阈值模型中,均达到一个日志系数:$n ⁇ -1}。这大大快于统计和计量生态学文献中类似模型的平滑估计值的当前既定趋同率。我们还展示了一种环境数据集的实际数据应用方法,其中以人均GDP和城市放大率定义的分离超高平方平方平面模型来解释$CO_2美元的排放量。

0
下载
关闭预览

相关内容

专知会员服务
51+阅读 · 2020年12月14日
【干货书】机器学习速查手册,135页pdf
专知会员服务
127+阅读 · 2020年11月20日
Linux导论,Introduction to Linux,96页ppt
专知会员服务
82+阅读 · 2020年7月26日
专知会员服务
162+阅读 · 2020年1月16日
强化学习最新教程,17页pdf
专知会员服务
182+阅读 · 2019年10月11日
Opencv+TF-Slim实现图像分类及深度特征提取
极市平台
16+阅读 · 2019年8月19日
Hierarchically Structured Meta-learning
CreateAMind
27+阅读 · 2019年5月22日
meta learning 17年:MAML SNAIL
CreateAMind
11+阅读 · 2019年1月2日
已删除
将门创投
3+阅读 · 2018年6月20日
Hierarchical Disentangled Representations
CreateAMind
4+阅读 · 2018年4月15日
【学习】Hierarchical Softmax
机器学习研究会
4+阅读 · 2017年8月6日
Arxiv
0+阅读 · 2021年11月20日
Arxiv
3+阅读 · 2017年12月14日
VIP会员
相关资讯
Opencv+TF-Slim实现图像分类及深度特征提取
极市平台
16+阅读 · 2019年8月19日
Hierarchically Structured Meta-learning
CreateAMind
27+阅读 · 2019年5月22日
meta learning 17年:MAML SNAIL
CreateAMind
11+阅读 · 2019年1月2日
已删除
将门创投
3+阅读 · 2018年6月20日
Hierarchical Disentangled Representations
CreateAMind
4+阅读 · 2018年4月15日
【学习】Hierarchical Softmax
机器学习研究会
4+阅读 · 2017年8月6日
Top
微信扫码咨询专知VIP会员