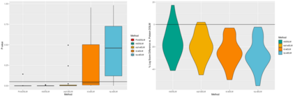
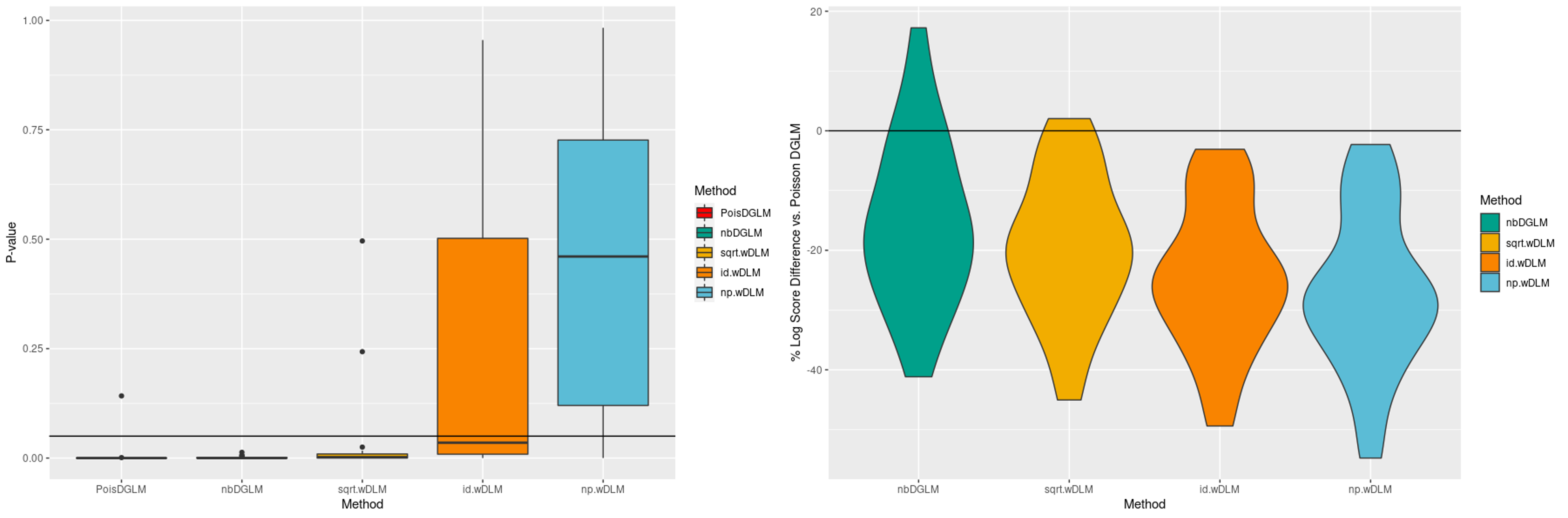
Dynamic Linear Models (DLMs) are commonly employed for time series analysis due to their versatile structure, simple recursive updating, ability to handle missing data, and probabilistic forecasting. However, the options for count time series are limited: Gaussian DLMs require continuous data, while Poisson-based alternatives often lack sufficient modeling flexibility. We introduce a novel semiparametric methodology for count time series by warping a Gaussian DLM. The warping function has two components: a (nonparametric) transformation operator that provides distributional flexibility and a rounding operator that ensures the correct support for the discrete data-generating process. We develop conjugate inference for the warped DLM, which enables analytic and recursive updates for the state space filtering and smoothing distributions. We leverage these results to produce customized and efficient algorithms for inference and forecasting, including Monte Carlo simulation for offline analysis and an optimal particle filter for online inference. This framework unifies and extends a variety of discrete time series models and is valid for natural counts, rounded values, and multivariate observations. Simulation studies illustrate the excellent forecasting capabilities of the warped DLM. The proposed approach is applied to a multivariate time series of daily overdose counts and demonstrates both modeling and computational successes.


翻译:动态线性模型(DLMS)通常用于时间序列分析,因为其多功能结构、简单的循环更新、处理缺失数据的能力以及概率预测。然而,计算时间序列的选择有限:高山DLMS需要连续数据,而基于Poisson的替代品往往缺乏足够的模型灵活性。我们为计时序列引入了一种新的半参数方法,通过扭曲高山 DLM来扭曲计时序列。扭曲功能有两个组成部分:一个(非参数)变换操作器,提供分配灵活性,一个圆形操作器,以确保对离散数据生成过程的正确支持。我们为扭曲的DLMM开发共推论,为状态空间过滤和平滑动分布提供分析和循环更新。我们利用这些结果为计时和预测制作定制和高效的算法,包括用于离线分析的蒙特卡洛模拟和用于在线推断的最佳粒子过滤法。这个框架统一和扩展了各种离散时间序列模型,并且对于自然计数、四舍值和多变量的计算法计算方法是有效的。我们利用这些算法来得出一个极好的每日预测和计算方法。

0
下载
关闭预览

相关内容

对于给定d个属性描述的示例x=(x1,x2,......,xd),通过属性的线性组合来进行预测。一般的写法如下: f(x)=w'x+b,因此,线性模型具有很好的解释性(understandability,comprehensibility),参数w代表每个属性在回归过程中的重要程度。
专知会员服务
26+阅读 · 2021年4月2日
100+篇《自监督学习(Self-Supervised Learning)》论文最新合集
专知会员服务
167+阅读 · 2020年3月18日
开源书:PyTorch深度学习起步
专知会员服务
51+阅读 · 2019年10月11日
机器学习入门的经验与建议
专知会员服务
94+阅读 · 2019年10月10日
AIART 2022 Call for Papers
CCF多媒体专委会
1+阅读 · 2022年2月13日
【ICIG2021】Check out the hot new trailer of ICIG2021 Symposium8
中国图象图形学学会CSIG
0+阅读 · 2021年11月16日
【ICIG2021】Check out the hot new trailer of ICIG2021 Symposium5
中国图象图形学学会CSIG
1+阅读 · 2021年11月11日
【ICIG2021】Check out the hot new trailer of ICIG2021 Symposium4
中国图象图形学学会CSIG
0+阅读 · 2021年11月10日
【ICIG2021】Check out the hot new trailer of ICIG2021 Symposium3
中国图象图形学学会CSIG
0+阅读 · 2021年11月9日
【ICIG2021】Check out the hot new trailer of ICIG2021 Symposium2
中国图象图形学学会CSIG
0+阅读 · 2021年11月8日
【ICIG2021】Check out the hot new trailer of ICIG2021 Symposium1
中国图象图形学学会CSIG
0+阅读 · 2021年11月3日
Hierarchically Structured Meta-learning
CreateAMind
27+阅读 · 2019年5月22日
Unsupervised Learning via Meta-Learning
CreateAMind
43+阅读 · 2019年1月3日
A Technical Overview of AI & ML in 2018 & Trends for 2019
待字闺中
18+阅读 · 2018年12月24日
国家自然科学基金
0+阅读 · 2015年12月31日
国家自然科学基金
0+阅读 · 2015年12月31日
国家自然科学基金
0+阅读 · 2014年12月31日
国家自然科学基金
1+阅读 · 2014年12月31日
国家自然科学基金
0+阅读 · 2013年12月31日
国家自然科学基金
1+阅读 · 2013年12月31日
国家自然科学基金
0+阅读 · 2012年12月31日
国家自然科学基金
0+阅读 · 2011年12月31日
国家自然科学基金
1+阅读 · 2011年12月31日
国家自然科学基金
0+阅读 · 2009年12月31日
Arxiv
0+阅读 · 2022年6月6日
VIP会员
相关资讯
AIART 2022 Call for Papers
CCF多媒体专委会
1+阅读 · 2022年2月13日
【ICIG2021】Check out the hot new trailer of ICIG2021 Symposium8
中国图象图形学学会CSIG
0+阅读 · 2021年11月16日
【ICIG2021】Check out the hot new trailer of ICIG2021 Symposium5
中国图象图形学学会CSIG
1+阅读 · 2021年11月11日
【ICIG2021】Check out the hot new trailer of ICIG2021 Symposium4
中国图象图形学学会CSIG
0+阅读 · 2021年11月10日
【ICIG2021】Check out the hot new trailer of ICIG2021 Symposium3
中国图象图形学学会CSIG
0+阅读 · 2021年11月9日
【ICIG2021】Check out the hot new trailer of ICIG2021 Symposium2
中国图象图形学学会CSIG
0+阅读 · 2021年11月8日
【ICIG2021】Check out the hot new trailer of ICIG2021 Symposium1
中国图象图形学学会CSIG
0+阅读 · 2021年11月3日
Hierarchically Structured Meta-learning
CreateAMind
27+阅读 · 2019年5月22日
Unsupervised Learning via Meta-Learning
CreateAMind
43+阅读 · 2019年1月3日
A Technical Overview of AI & ML in 2018 & Trends for 2019
待字闺中
18+阅读 · 2018年12月24日
相关基金
国家自然科学基金
0+阅读 · 2015年12月31日
国家自然科学基金
0+阅读 · 2015年12月31日
国家自然科学基金
0+阅读 · 2014年12月31日
国家自然科学基金
1+阅读 · 2014年12月31日
国家自然科学基金
0+阅读 · 2013年12月31日
国家自然科学基金
1+阅读 · 2013年12月31日
国家自然科学基金
0+阅读 · 2012年12月31日
国家自然科学基金
0+阅读 · 2011年12月31日
国家自然科学基金
1+阅读 · 2011年12月31日
国家自然科学基金
0+阅读 · 2009年12月31日
Top
微信扫码咨询专知VIP会员