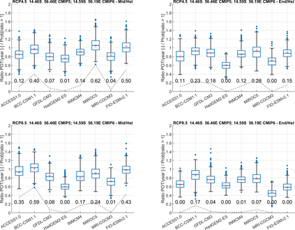
Estimating climate effects on future ocean storm severity is plagued by large uncertainties, yet for safe design and operation of offshore structures, best possible estimates of climate effects are required given available data. We explore the variability in estimates of 100-year return value of significant wave height (Hs) over time, for output of WAVEWATCHIII models from 7 representative CMIP5 GCMs, and the FIO-ESM v2.0 CMIP6 GCM, for neighbourhoods of locations east of Madagascar and south of Australia. Non-stationary extreme value analysis of peaks-over-threshold and block maxima using Bayesian inference provide posterior estimates of return values as a function of time; MATLAB software is provided. There is large variation between return value estimates from different GCMs, and with longitude and latitude within each neighbourhood. These sources of uncertainty tend to be larger than that due to typical modelling choices (such as choice of threshold for POT, or block length for BM). However, careful threshold and block length are critical east of Madagascar, because of the presence of a mixed population of storms there. The long 700-year pre-industrial control (piControl) output of the CMIP6 GCM allows quantification of the apparent inherent variability in return value as a function of time.


翻译:估计气候对未来海洋风暴严重程度的影响受到巨大的不确定性的困扰,然而,为了安全地设计和运行离岸结构,需要根据现有数据对气候影响作出尽可能最佳的估计。我们探讨长期内重大波高(Hs)100年回报值估计数的变异性,7个具有代表性的CMIP5 GCM和FIO-ESM v2.0 CMIIP6 GCM的WAVEWITCHIII模型产出的变异性,马达加斯加东部和澳大利亚南部各居民区的FIO-ESM v2.0 CMIP6 GCM。但是,利用Bayesian Inference对峰值和区级峰值的不固定极端值分析,提供了作为时间函数的回报值的远值估计;提供了MATLAB软件。不同环流高(GMMS)的回报值估计数和每个居民区的长度和纬度之间有很大差异。这些不确定性的来源往往大于典型的建模选择(例如选择POT的阈值,或BMM的区长长度)。然而,马达加斯加东部的仔细的阈值和块长度是关键,因为那里存在混合的风暴群落人口,所以具有长期的ICP值。

0
下载
关闭预览

相关内容

不可错过!《机器学习100讲》课程,UBC Mark Schmidt讲授
专知会员服务
76+阅读 · 2022年6月28日
[综述]深度学习下的场景文本检测与识别
专知会员服务
78+阅读 · 2019年10月10日
机器学习入门的经验与建议
专知会员服务
94+阅读 · 2019年10月10日
【哈佛大学商学院课程Fall 2019】机器学习可解释性
专知会员服务
105+阅读 · 2019年10月9日
ACM MM 2022 Call for Papers
CCF多媒体专委会
5+阅读 · 2022年3月29日
AIART 2022 Call for Papers
CCF多媒体专委会
1+阅读 · 2022年2月13日
【ICIG2021】Check out the hot new trailer of ICIG2021 Symposium9
中国图象图形学学会CSIG
0+阅读 · 2021年12月17日
【ICIG2021】Check out the hot new trailer of ICIG2021 Symposium7
中国图象图形学学会CSIG
0+阅读 · 2021年11月15日
【ICIG2021】Check out the hot new trailer of ICIG2021 Symposium6
中国图象图形学学会CSIG
2+阅读 · 2021年11月12日
【ICIG2021】Check out the hot new trailer of ICIG2021 Symposium5
中国图象图形学学会CSIG
1+阅读 · 2021年11月11日
【ICIG2021】Check out the hot new trailer of ICIG2021 Symposium1
中国图象图形学学会CSIG
0+阅读 · 2021年11月3日
【ICIG2021】Latest News & Announcements of the Plenary Talk1
中国图象图形学学会CSIG
0+阅读 · 2021年11月1日
Hierarchically Structured Meta-learning
CreateAMind
27+阅读 · 2019年5月22日
A Technical Overview of AI & ML in 2018 & Trends for 2019
待字闺中
18+阅读 · 2018年12月24日
国家自然科学基金
0+阅读 · 2014年12月31日
国家自然科学基金
0+阅读 · 2013年12月31日
国家自然科学基金
1+阅读 · 2013年12月31日
国家自然科学基金
0+阅读 · 2012年12月31日
国家自然科学基金
0+阅读 · 2012年12月31日
国家自然科学基金
0+阅读 · 2011年12月31日
国家自然科学基金
0+阅读 · 2011年12月31日
国家自然科学基金
0+阅读 · 2008年12月31日
国家自然科学基金
0+阅读 · 2008年12月31日
Arxiv
0+阅读 · 2023年2月18日
Arxiv
0+阅读 · 2023年2月17日
VIP会员
相关资讯
ACM MM 2022 Call for Papers
CCF多媒体专委会
5+阅读 · 2022年3月29日
AIART 2022 Call for Papers
CCF多媒体专委会
1+阅读 · 2022年2月13日
【ICIG2021】Check out the hot new trailer of ICIG2021 Symposium9
中国图象图形学学会CSIG
0+阅读 · 2021年12月17日
【ICIG2021】Check out the hot new trailer of ICIG2021 Symposium7
中国图象图形学学会CSIG
0+阅读 · 2021年11月15日
【ICIG2021】Check out the hot new trailer of ICIG2021 Symposium6
中国图象图形学学会CSIG
2+阅读 · 2021年11月12日
【ICIG2021】Check out the hot new trailer of ICIG2021 Symposium5
中国图象图形学学会CSIG
1+阅读 · 2021年11月11日
【ICIG2021】Check out the hot new trailer of ICIG2021 Symposium1
中国图象图形学学会CSIG
0+阅读 · 2021年11月3日
【ICIG2021】Latest News & Announcements of the Plenary Talk1
中国图象图形学学会CSIG
0+阅读 · 2021年11月1日
Hierarchically Structured Meta-learning
CreateAMind
27+阅读 · 2019年5月22日
A Technical Overview of AI & ML in 2018 & Trends for 2019
待字闺中
18+阅读 · 2018年12月24日
相关基金
国家自然科学基金
0+阅读 · 2014年12月31日
国家自然科学基金
0+阅读 · 2013年12月31日
国家自然科学基金
1+阅读 · 2013年12月31日
国家自然科学基金
0+阅读 · 2012年12月31日
国家自然科学基金
0+阅读 · 2012年12月31日
国家自然科学基金
0+阅读 · 2011年12月31日
国家自然科学基金
0+阅读 · 2011年12月31日
国家自然科学基金
0+阅读 · 2008年12月31日
国家自然科学基金
0+阅读 · 2008年12月31日
Top
微信扫码咨询专知VIP会员