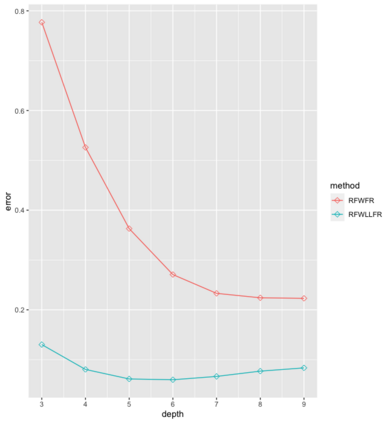
Statistical analysis is increasingly confronted with complex data from general metric spaces, such as symmetric positive definite matrix-valued data and probability distribution functions. [47] and [17] establish a general paradigm of Fr\'echet regression with complex metric space valued responses and Euclidean predictors. However, their proposed local Fr\'echet regression approach involves nonparametric kernel smoothing and suffers from the curse of dimensionality. To address this issue, we in this paper propose a novel random forests weighted local Fr\'echet regression paradigm. The main mechanism of our approach relies on the adaptive kernels generated by random forests. Our first method utilizes these weights as the local average to solve the Fr\'echet mean, while the second method performs local linear Fr\'echet regression, making both methods locally adaptive. Our proposals significantly improve existing Fr\'echet regression methods. Based on the theory of infinite order U-processes and infinite order Mmn-estimator, we establish the consistency, rate of convergence, and asymptotic normality for our proposed random forests weighted Fr\'echet regression estimator, which covers the current large sample theory of random forests with Euclidean responses as a special case. Numerical studies show the superiority of our proposed two methods for Fr\'echet regression with several commonly encountered types of responses such as probability distribution functions, symmetric positive definite matrices, and sphere data. The practical merits of our proposals are also demonstrated through the application to the human mortality distribution data.


翻译:统计分析日益面临来自一般指标空间的复杂数据,例如正对正确定基数估值的数据和概率分布功能。 [47] 和 [17] 建立Fr\'echet回归的总范式,采用复杂的空间估价反应和 Euclidean 预测器。然而,他们提议的当地Fr\'echet回归法涉及非对等内核内核平滑和受维度诅咒的影响。为了解决这个问题,我们本文建议采用一个新颖的随机森林加权本地Fr\'echet回归模式。我们方法的主要机制依赖于随机森林产生的适应性内核。我们的第一个方法利用这些权重作为地方平均数来解决Fr\'echet 意味着的复杂空间估价反应和 Eucliet 预测。而第二种方法则进行局部Fr\'echetel回归回归法,使两种方法都适应当地。我们的提案大大改进了现有的Fr\'echet回归法的方法。根据无限的U-croom-rchele 和 main-stestator restal um 模式, 我们提议的随机的Frassimal deview sultal review sultal review sultal review ex reviews reviewdal reviewdal reviewdal reviewdal reviewdal reviewdal reviewdal reviewdal reviewdal su sutional 。我们提议的人类的精确分布图的精确分布图的精确分布图, 。

0
下载
关闭预览

相关内容

剑桥大学《数据科学: 原理与实践》课程,附PPT下载
专知会员服务
54+阅读 · 2021年1月20日
专知会员服务
45+阅读 · 2020年12月18日
专知会员服务
51+阅读 · 2020年12月14日
【干货书】机器学习速查手册,135页pdf
专知会员服务
127+阅读 · 2020年11月20日
[综述]深度学习下的场景文本检测与识别
专知会员服务
78+阅读 · 2019年10月10日
VCIP 2022 Call for Special Session Proposals
CCF多媒体专委会
1+阅读 · 2022年4月1日
ACM MM 2022 Call for Papers
CCF多媒体专委会
5+阅读 · 2022年3月29日
ACM TOMM Call for Papers
CCF多媒体专委会
2+阅读 · 2022年3月23日
AIART 2022 Call for Papers
CCF多媒体专委会
1+阅读 · 2022年2月13日
【ICIG2021】Check out the hot new trailer of ICIG2021 Symposium6
中国图象图形学学会CSIG
2+阅读 · 2021年11月12日
【ICIG2021】Check out the hot new trailer of ICIG2021 Symposium1
中国图象图形学学会CSIG
0+阅读 · 2021年11月3日
Hierarchically Structured Meta-learning
CreateAMind
27+阅读 · 2019年5月22日
A Technical Overview of AI & ML in 2018 & Trends for 2019
待字闺中
18+阅读 · 2018年12月24日
Hierarchical Imitation - Reinforcement Learning
CreateAMind
19+阅读 · 2018年5月25日
国家自然科学基金
0+阅读 · 2015年12月31日
国家自然科学基金
0+阅读 · 2013年12月31日
国家自然科学基金
0+阅读 · 2013年12月31日
国家自然科学基金
0+阅读 · 2013年12月31日
国家自然科学基金
0+阅读 · 2012年12月31日
国家自然科学基金
0+阅读 · 2012年12月31日
国家自然科学基金
0+阅读 · 2012年12月31日
国家自然科学基金
0+阅读 · 2011年12月31日
国家自然科学基金
1+阅读 · 2011年12月31日
Risk and optimal policies in bandit experiments
Arxiv
0+阅读 · 2022年4月18日
VIP会员
相关资讯
VCIP 2022 Call for Special Session Proposals
CCF多媒体专委会
1+阅读 · 2022年4月1日
ACM MM 2022 Call for Papers
CCF多媒体专委会
5+阅读 · 2022年3月29日
ACM TOMM Call for Papers
CCF多媒体专委会
2+阅读 · 2022年3月23日
AIART 2022 Call for Papers
CCF多媒体专委会
1+阅读 · 2022年2月13日
【ICIG2021】Check out the hot new trailer of ICIG2021 Symposium6
中国图象图形学学会CSIG
2+阅读 · 2021年11月12日
【ICIG2021】Check out the hot new trailer of ICIG2021 Symposium1
中国图象图形学学会CSIG
0+阅读 · 2021年11月3日
Hierarchically Structured Meta-learning
CreateAMind
27+阅读 · 2019年5月22日
A Technical Overview of AI & ML in 2018 & Trends for 2019
待字闺中
18+阅读 · 2018年12月24日
Hierarchical Imitation - Reinforcement Learning
CreateAMind
19+阅读 · 2018年5月25日
相关基金
国家自然科学基金
0+阅读 · 2015年12月31日
国家自然科学基金
0+阅读 · 2013年12月31日
国家自然科学基金
0+阅读 · 2013年12月31日
国家自然科学基金
0+阅读 · 2013年12月31日
国家自然科学基金
0+阅读 · 2012年12月31日
国家自然科学基金
0+阅读 · 2012年12月31日
国家自然科学基金
0+阅读 · 2012年12月31日
国家自然科学基金
0+阅读 · 2011年12月31日
国家自然科学基金
1+阅读 · 2011年12月31日
Top
微信扫码咨询专知VIP会员