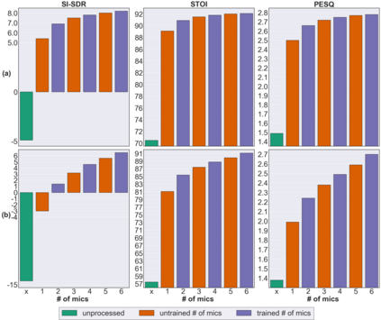
Deep neural networks (DNNs) have been successfully used for multichannel speech enhancement in fixed array geometries. However, challenges remain for ad-hoc arrays with unknown microphone placements. We propose a deep neural network based approach for ad-hoc array processing: Triple-Attentive Dual-Recurrent Network (TADRN). TADRN uses self-attention across channels for learning spatial information and a dual-path attentive recurrent network (ARN) for temporal modeling. Temporal modeling is done independently for all channels by dividing a signal into smaller chunks and using an intra-chunk ARN for local modeling and an inter-chunk ARN for global modeling. Consequently, TADRN uses triple-path attention: inter-channel, intra-chunk, and inter-chunk, and dual-path recurrence: intra-chunk and inter-chunk. Experimental results show excellent performance of TADRN. We demonstrate that TADRN improves speech enhancement by leveraging additional randomly placed microphones, even at locations far from the target source. Additionally, large improvements in objective scores are observed when poorly placed microphones in the scene are complemented with more effective microphone positions, such as those closer to a target source.


翻译:在固定阵列地形中,深海神经网络(DNNs)被成功地用于多通道语音增强。然而,具有未知麦克风定位的特设阵列仍然存在挑战。我们提议了基于深神经网络的特设阵列处理方法:三-加速双流网络(TADRN)。TADRN利用跨渠道的自我关注来学习空间信息,并使用双向关注的经常性网络进行时间建模。对所有频道来说,时间建模是独立进行的,方法是将信号分割成小块,使用中式ARN进行本地建模,并使用中式ARN进行全球建模。因此,TADRN使用三重心心:跨通道、中式双向双向网络(TADRN)和双向重复(TADRN)的实验结果显示TADRN的出色表现。我们证明,TADRN通过利用更多随机安装的麦克风来改进语音,即使是在远离目标源的地点,也使用内部安装的ARN,而内部的ARN也使用一个内部建式ARN。此外,在目标定位上,更精确的移动式定位的位置是更接近目标定位。

0
下载
关闭预览

相关内容

语音增强是指当语音信号被各种各样的噪声干扰、甚至淹没后,从噪声背景中提取有用的语音信号,抑制、降低噪声干扰的技术。一句话,从含噪语音中提取尽可能纯净的原始语音。
专知会员服务
32+阅读 · 2021年6月12日
【图与几何深度学习】Graph and geometric deep learning,49页ppt
一份循环神经网络RNNs简明教程,37页ppt
专知会员服务
173+阅读 · 2020年5月6日
深度强化学习策略梯度教程,53页ppt
专知会员服务
184+阅读 · 2020年2月1日
【新书】Python编程基础,669页pdf
专知会员服务
197+阅读 · 2019年10月10日
【资源】语音增强资源集锦
专知
8+阅读 · 2020年7月4日
Transferring Knowledge across Learning Processes
CreateAMind
29+阅读 · 2019年5月18日
已删除
雪球
6+阅读 · 2018年8月19日
语音顶级会议Interspeech2018接受论文列表!
专知
6+阅读 · 2018年6月10日
计算机视觉领域顶会CVPR 2018 接受论文列表
Advances in Online Audio-Visual Meeting Transcription
Arxiv
4+阅读 · 2019年12月10日
Arxiv
6+阅读 · 2019年4月8日
Phase-aware Speech Enhancement with Deep Complex U-Net
Neural Speech Synthesis with Transformer Network
Arxiv
5+阅读 · 2019年1月30日
Arxiv
8+阅读 · 2018年11月27日
VIP会员
Top
微信扫码咨询专知VIP会员