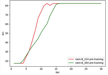
With the development of computer technology, various models have emerged in artificial intelligence. The transformer model has been applied to the field of computer vision (CV) after its success in natural language processing (NLP). Radiologists continue to face multiple challenges in today's rapidly evolving medical field, such as increased workload and increased diagnostic demands. Although there are some conventional methods for lung cancer detection before, their accuracy still needs to be improved, especially in realistic diagnostic scenarios. This paper creatively proposes a segmentation method based on efficient transformer and applies it to medical image analysis. The algorithm completes the task of lung cancer classification and segmentation by analyzing lung cancer data, and aims to provide efficient technical support for medical staff. In addition, we evaluated and compared the results in various aspects. For the classification mission, the max accuracy of Swin-T by regular training and Swin-B in two resolutions by pre-training can be up to 82.3%. For the segmentation mission, we use pre-training to help the model improve the accuracy of our experiments. The accuracy of the three models reaches over 95%. The experiments demonstrate that the algorithm can be well applied to lung cancer classification and segmentation missions.


翻译:随着计算机技术的发展,各种模型已经在人工智能中出现。变压器模型在自然语言处理成功后应用到计算机视觉领域。放射学家在当今迅速演变的医疗领域继续面临多重挑战,例如工作量增加和诊断需求增加。虽然以前有一些常规的肺癌检测方法,但其准确性仍然需要提高,特别是在现实的诊断假设中。本文创造性地提出一种基于高效变压器的分解方法,并将其应用于医学图像分析。算法通过分析肺癌数据完成肺癌分类和分解任务,目的是为医务人员提供有效的技术支持。此外,我们评估并比较了各方面的结果。对于叙级任务而言,通过定期培训,Swin-T和Swin-B在两个分理中的最高精度可以高达82.3%。对于分解任务,我们使用预培训来帮助模型提高我们的实验的准确性。三种模型的精确度达到95%以上。实验表明算法可以很好地应用于肺癌分类和分解任务。

0
下载
关闭预览

相关内容

【2022新书】高效深度学习,Efficient Deep Learning Book
专知会员服务
126+阅读 · 2022年4月21日
[综述]深度学习下的场景文本检测与识别
专知会员服务
78+阅读 · 2019年10月10日
【SIGGRAPH2019】TensorFlow 2.0深度学习计算机图形学应用
专知会员服务
41+阅读 · 2019年10月9日
征稿 | CFP:Special Issue of NLP and KG(JCR Q2,IF2.67)
开放知识图谱
1+阅读 · 2022年4月4日
ACM MM 2022 Call for Papers
CCF多媒体专委会
5+阅读 · 2022年3月29日
IEEE TII Call For Papers
CCF多媒体专委会
3+阅读 · 2022年3月24日
【ICIG2021】Latest News & Announcements of the Tutorial
中国图象图形学学会CSIG
3+阅读 · 2021年12月20日
【ICIG2021】Check out the hot new trailer of ICIG2021 Symposium9
中国图象图形学学会CSIG
0+阅读 · 2021年12月17日
【ICIG2021】Check out the hot new trailer of ICIG2021 Symposium7
中国图象图形学学会CSIG
0+阅读 · 2021年11月15日
【ICIG2021】Check out the hot new trailer of ICIG2021 Symposium1
中国图象图形学学会CSIG
0+阅读 · 2021年11月3日
Unsupervised Learning via Meta-Learning
CreateAMind
43+阅读 · 2019年1月3日
A Technical Overview of AI & ML in 2018 & Trends for 2019
待字闺中
18+阅读 · 2018年12月24日
国家自然科学基金
0+阅读 · 2014年12月31日
国家自然科学基金
0+阅读 · 2012年12月31日
国家自然科学基金
0+阅读 · 2012年12月31日
国家自然科学基金
0+阅读 · 2012年12月31日
国家自然科学基金
0+阅读 · 2011年12月31日
国家自然科学基金
0+阅读 · 2011年12月31日
国家自然科学基金
0+阅读 · 2009年12月31日
Arxiv
0+阅读 · 2022年8月19日
Transformers in Medical Image Analysis: A Review
Arxiv
40+阅读 · 2022年2月24日
Arxiv
17+阅读 · 2022年2月23日
A Survey on Data Augmentation for Text Classification
Arxiv
23+阅读 · 2020年9月16日
Image Segmentation Using Deep Learning: A Survey
Arxiv
47+阅读 · 2020年1月15日
Arxiv
12+阅读 · 2019年3月14日
VIP会员
相关VIP内容
相关资讯
征稿 | CFP:Special Issue of NLP and KG(JCR Q2,IF2.67)
开放知识图谱
1+阅读 · 2022年4月4日
ACM MM 2022 Call for Papers
CCF多媒体专委会
5+阅读 · 2022年3月29日
IEEE TII Call For Papers
CCF多媒体专委会
3+阅读 · 2022年3月24日
【ICIG2021】Latest News & Announcements of the Tutorial
中国图象图形学学会CSIG
3+阅读 · 2021年12月20日
【ICIG2021】Check out the hot new trailer of ICIG2021 Symposium9
中国图象图形学学会CSIG
0+阅读 · 2021年12月17日
【ICIG2021】Check out the hot new trailer of ICIG2021 Symposium7
中国图象图形学学会CSIG
0+阅读 · 2021年11月15日
【ICIG2021】Check out the hot new trailer of ICIG2021 Symposium1
中国图象图形学学会CSIG
0+阅读 · 2021年11月3日
Unsupervised Learning via Meta-Learning
CreateAMind
43+阅读 · 2019年1月3日
A Technical Overview of AI & ML in 2018 & Trends for 2019
待字闺中
18+阅读 · 2018年12月24日
相关基金
国家自然科学基金
0+阅读 · 2014年12月31日
国家自然科学基金
0+阅读 · 2012年12月31日
国家自然科学基金
0+阅读 · 2012年12月31日
国家自然科学基金
0+阅读 · 2012年12月31日
国家自然科学基金
0+阅读 · 2011年12月31日
国家自然科学基金
0+阅读 · 2011年12月31日
国家自然科学基金
0+阅读 · 2009年12月31日
Top
微信扫码咨询专知VIP会员