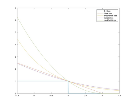
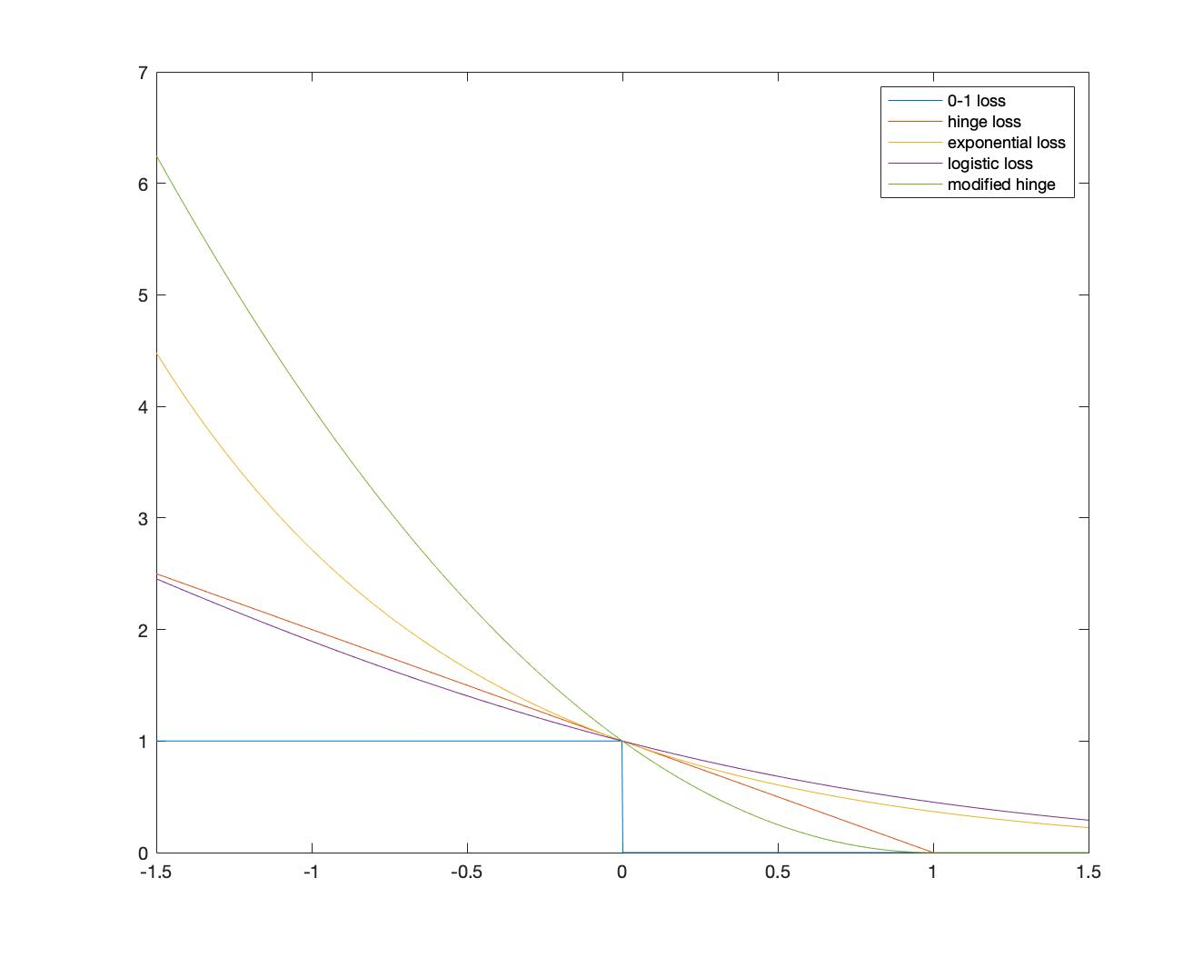
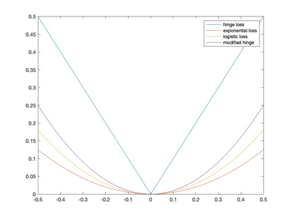
We study the rates of convergence from empirical surrogate risk minimizers to the Bayes optimal classifier. Specifically, we introduce the notion of \emph{consistency intensity} to characterize a surrogate loss function and exploit this notion to obtain the rate of convergence from an empirical surrogate risk minimizer to the Bayes optimal classifier, enabling fair comparisons of the excess risks of different surrogate risk minimizers. The main result of the paper has practical implications including (1) showing that hinge loss is superior to logistic and exponential loss in the sense that its empirical minimizer converges faster to the Bayes optimal classifier and (2) guiding to modify surrogate loss functions to accelerate the convergence to the Bayes optimal classifier.


翻译:我们研究了从经验替代风险最小化器到贝耶斯最佳分类器的趋同率。具体地说,我们引入了代用损失功能特征概念,并利用这一概念从经验替代风险最小化器到贝耶斯最佳分类器取得经验替代风险最小化器的趋同率,以便对不同代用风险最小化器的过重风险进行公平比较。文件的主要结果具有实际影响,包括:(1) 表明临界损失优于物流和指数损失,因为其经验最小化器更快地与贝耶斯最佳分类器汇合,(2) 指导如何修改代用损失功能,加快与贝耶斯最佳分类器的趋同。

0
下载
关闭预览

相关内容

专知会员服务
51+阅读 · 2020年12月14日
专知会员服务
54+阅读 · 2020年9月7日
Fariz Darari简明《博弈论Game Theory》介绍,35页ppt
专知会员服务
112+阅读 · 2020年5月15日
机器学习入门的经验与建议
专知会员服务
94+阅读 · 2019年10月10日
【哈佛大学商学院课程Fall 2019】机器学习可解释性
专知会员服务
105+阅读 · 2019年10月9日
MIT新书《强化学习与最优控制》
专知会员服务
281+阅读 · 2019年10月9日
已删除
将门创投
4+阅读 · 2020年1月6日
Transferring Knowledge across Learning Processes
CreateAMind
29+阅读 · 2019年5月18日
19篇ICML2019论文摘录选读!
专知
28+阅读 · 2019年4月28日
强化学习的Unsupervised Meta-Learning
CreateAMind
18+阅读 · 2019年1月7日
Unsupervised Learning via Meta-Learning
CreateAMind
43+阅读 · 2019年1月3日
meta learning 17年:MAML SNAIL
CreateAMind
11+阅读 · 2019年1月2日
Hierarchical Imitation - Reinforcement Learning
CreateAMind
19+阅读 · 2018年5月25日
Auto-Encoding GAN
CreateAMind
7+阅读 · 2017年8月4日
强化学习 cartpole_a3c
CreateAMind
9+阅读 · 2017年7月21日
Arxiv
7+阅读 · 2020年6月29日
Arxiv
5+阅读 · 2017年12月14日
VIP会员
相关VIP内容
相关资讯
已删除
将门创投
4+阅读 · 2020年1月6日
Transferring Knowledge across Learning Processes
CreateAMind
29+阅读 · 2019年5月18日
19篇ICML2019论文摘录选读!
专知
28+阅读 · 2019年4月28日
强化学习的Unsupervised Meta-Learning
CreateAMind
18+阅读 · 2019年1月7日
Unsupervised Learning via Meta-Learning
CreateAMind
43+阅读 · 2019年1月3日
meta learning 17年:MAML SNAIL
CreateAMind
11+阅读 · 2019年1月2日
Hierarchical Imitation - Reinforcement Learning
CreateAMind
19+阅读 · 2018年5月25日
Auto-Encoding GAN
CreateAMind
7+阅读 · 2017年8月4日
强化学习 cartpole_a3c
CreateAMind
9+阅读 · 2017年7月21日
Top
微信扫码咨询专知VIP会员