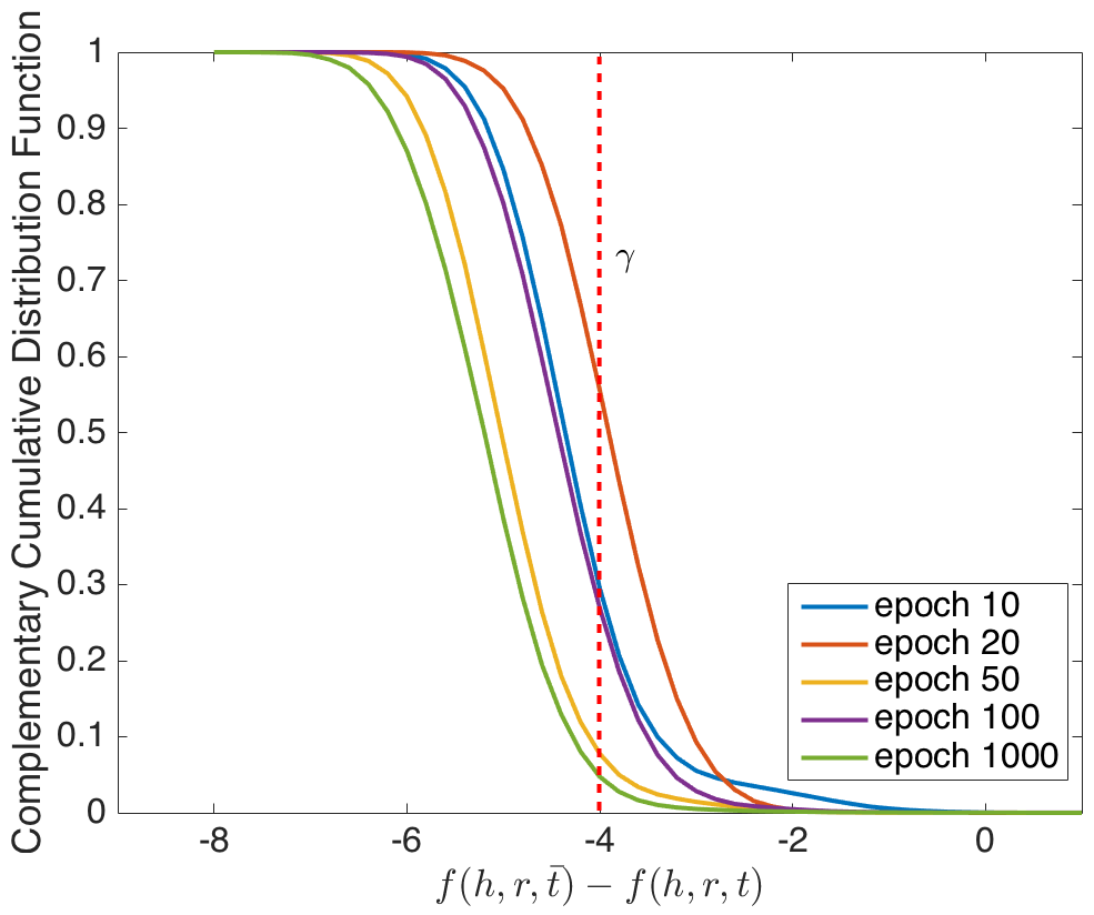
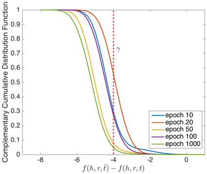
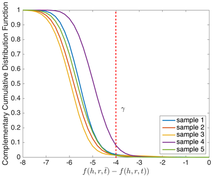
Knowledge Graph (KG) embedding is a fundamental problem in data mining research with many real-world applications. It aims to encode the entities and relations in the graph into low dimensional vector space, which can be used for subsequent algorithms. Negative sampling, which samples negative triplets from non-observed ones in the training data, is an important step in KG embedding. Recently, generative adversarial network (GAN), has been introduced in negative sampling. By sampling negative triplets with large scores, these methods avoid the problem of vanishing gradient and thus obtain better performance. However, using GAN makes the original model more complex and hard to train, where reinforcement learning must be used. In this paper, motivated by the observation that negative triplets with large scores are important but rare, we propose to directly keep track of them with the cache. However, how to sample from and update the cache are two important questions. We carefully design the solutions, which are not only efficient but also achieve a good balance between exploration and exploitation. In this way, our method acts as a "distilled" version of previous GA-based methods, which does not waste training time on additional parameters to fit the full distribution of negative triplets. The extensive experiments show that our method can gain significant improvement in various KG embedding models, and outperform the state-of-the-art negative sampling methods based on GAN.


翻译:嵌入知识图( KG) 是数据挖掘研究中存在许多真实世界应用的一个根本性问题。 它旨在将图中的实体和关系编码为低维矢量空间, 用于随后的算法。 负面抽样从培训数据中未观测到的三重负取样, 是KG嵌入的一个重要步骤 。 最近, 引入了负抽样 。 通过对负三重抽样抽样, 这些方法避免了梯度消失的问题, 从而获得更好的性能 。 但是, 使用GAN 使得原模型更加复杂和难于培训, 从而必须使用强化学习。 在本文中, 以大量分数的负三重模型为动力, 我们提议直接用缓存来追踪这些负三重模型。 然而, 如何从缓存中取样和更新基因对抗网络( GAN ) 是两个重要问题 。 我们仔细设计了解决方案, 它不仅效率高, 而且还在勘探和开发之间取得了良好的平衡。 这样, 我们的方法作为以前基于GAN 方法的“ 留存式” 版本, 使原始模型更难于强化的版本, 强化的强化学习方法, 无法在大量的GGG 模型上进行 的 的 的 。

7
下载
关闭预览

相关内容

《DeepGCNs: Making GCNs Go as Deep as CNNs》
专知会员服务
31+阅读 · 2019年10月17日
最新BERT相关论文清单,BERT-related Papers
专知会员服务
53+阅读 · 2019年9月29日
Hierarchically Structured Meta-learning
CreateAMind
27+阅读 · 2019年5月22日
Transferring Knowledge across Learning Processes
CreateAMind
29+阅读 · 2019年5月18日
无监督元学习表示学习
CreateAMind
27+阅读 · 2019年1月4日
条件GAN重大改进!cGANs with Projection Discriminator
CreateAMind
8+阅读 · 2018年2月7日
分布式TensorFlow入门指南
机器学习研究会
4+阅读 · 2017年11月28日
gan生成图像at 1024² 的 代码 论文
CreateAMind
4+阅读 · 2017年10月31日
Adversarial Variational Bayes: Unifying VAE and GAN 代码
CreateAMind
7+阅读 · 2017年10月4日
Auto-Encoding GAN
CreateAMind
7+阅读 · 2017年8月4日
Arxiv
9+阅读 · 2018年10月18日
Arxiv
4+阅读 · 2018年7月4日
Arxiv
7+阅读 · 2018年3月21日
VIP会员
相关VIP内容
相关资讯
Hierarchically Structured Meta-learning
CreateAMind
27+阅读 · 2019年5月22日
Transferring Knowledge across Learning Processes
CreateAMind
29+阅读 · 2019年5月18日
无监督元学习表示学习
CreateAMind
27+阅读 · 2019年1月4日
条件GAN重大改进!cGANs with Projection Discriminator
CreateAMind
8+阅读 · 2018年2月7日
分布式TensorFlow入门指南
机器学习研究会
4+阅读 · 2017年11月28日
gan生成图像at 1024² 的 代码 论文
CreateAMind
4+阅读 · 2017年10月31日
Adversarial Variational Bayes: Unifying VAE and GAN 代码
CreateAMind
7+阅读 · 2017年10月4日
Auto-Encoding GAN
CreateAMind
7+阅读 · 2017年8月4日
Top
微信扫码咨询专知VIP会员