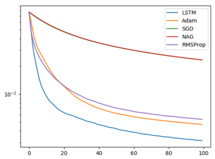
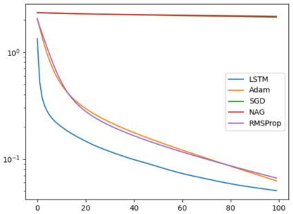
The recent application of deep learning (DL) to various tasks has seen the performance of classical techniques surpassed by their DL-based counterparts. As a result, DL has equally seen application in the removal of noise from images. In particular, the use of deep feed-forward convolutional neural networks (DnCNNs) has been investigated for denoising. It utilizes advances in DL techniques such as deep architecture, residual learning, and batch normalization to achieve better denoising performance when compared with the other classical state-of-the-art denoising algorithms. However, its deep architecture resulted in a huge set of trainable parameters. Meta-optimization is a training approach of enabling algorithms to learn to train themselves by themselves. Training algorithms using meta-optimizers have been shown to enable algorithms to achieve better performance when compared to the classical gradient descent-based training approach. In this work, we investigate the application of the meta-optimization training approach to the DnCNN denoising algorithm to enhance its denoising capability. Our preliminary experiments on simpler algorithms reveal the prospects of utilizing the meta-optimization training approach towards the enhancement of the DnCNN denoising capability.


翻译:最近将深层次学习(DL)应用于各种任务的做法,已经看到古典技术的效绩超过其基于DL的古典算法的效绩。结果,DL同样看到在清除图像中的噪音方面应用了传统技术。特别是,已经调查了利用深进进进进进进进进进的神经网络(DNNNs)来消除污染。它利用了深层结构、残余学习和批次正常化等DL技术的进步,以便在与其他古老的最先进的脱钩算法相比,实现更好的分解。然而,它的深层结构导致一套巨大的可培训参数。Meta-优化是一种培训方法,使算法能够自行学习自我培训。使用元优化器的培训算法已证明能够使算法在与传统的梯性脱钩式培训方法相比实现更好的业绩。在这项工作中,我们研究了对DCNN解析算法应用的元-奥化培训方法以加强其脱钩能力的情况。我们关于简化算法的初步实验揭示了使用元增压方法的前景。

0
下载
关闭预览

相关内容

专知会员服务
45+阅读 · 2020年10月31日
深度强化学习策略梯度教程,53页ppt
专知会员服务
184+阅读 · 2020年2月1日
Hierarchically Structured Meta-learning
CreateAMind
27+阅读 · 2019年5月22日
强化学习的Unsupervised Meta-Learning
CreateAMind
18+阅读 · 2019年1月7日
无监督元学习表示学习
CreateAMind
27+阅读 · 2019年1月4日
Unsupervised Learning via Meta-Learning
CreateAMind
43+阅读 · 2019年1月3日
meta learning 17年:MAML SNAIL
CreateAMind
11+阅读 · 2019年1月2日
【推荐】RNN最新研究进展综述
机器学习研究会
26+阅读 · 2018年1月6日
Simple Recurrent Unit For Sentence Classification
哈工大SCIR
6+阅读 · 2017年11月29日
【推荐】图像分类必读开创性论文汇总
机器学习研究会
14+阅读 · 2017年8月15日
Arxiv
13+阅读 · 2020年8月3日
Arxiv
12+阅读 · 2019年3月14日
Arxiv
5+阅读 · 2018年10月11日
Arxiv
5+阅读 · 2018年9月11日
Arxiv
21+阅读 · 2018年5月23日
VIP会员
相关VIP内容
专知会员服务
45+阅读 · 2020年10月31日
深度强化学习策略梯度教程,53页ppt
专知会员服务
184+阅读 · 2020年2月1日
相关资讯
Hierarchically Structured Meta-learning
CreateAMind
27+阅读 · 2019年5月22日
强化学习的Unsupervised Meta-Learning
CreateAMind
18+阅读 · 2019年1月7日
无监督元学习表示学习
CreateAMind
27+阅读 · 2019年1月4日
Unsupervised Learning via Meta-Learning
CreateAMind
43+阅读 · 2019年1月3日
meta learning 17年:MAML SNAIL
CreateAMind
11+阅读 · 2019年1月2日
【推荐】RNN最新研究进展综述
机器学习研究会
26+阅读 · 2018年1月6日
Simple Recurrent Unit For Sentence Classification
哈工大SCIR
6+阅读 · 2017年11月29日
【推荐】图像分类必读开创性论文汇总
机器学习研究会
14+阅读 · 2017年8月15日
Top
微信扫码咨询专知VIP会员