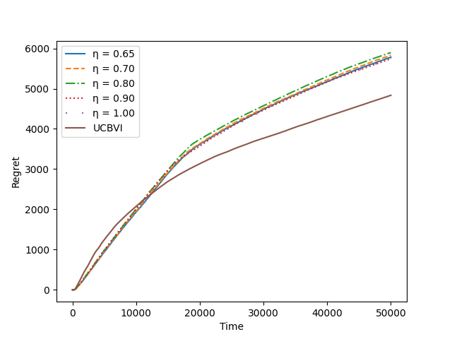
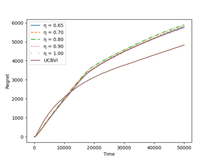
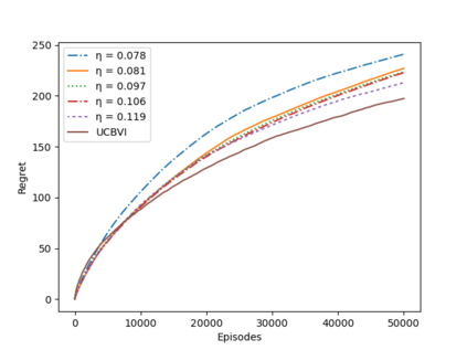
A key challenge to deploying reinforcement learning in practice is exploring safely. We propose a natural safety property -- \textit{uniformly} outperforming a conservative policy (adaptively estimated from all data observed thus far), up to a per-episode exploration budget. We then design an algorithm that uses a UCB reinforcement learning policy for exploration, but overrides it as needed to ensure safety with high probability. We experimentally validate our results on a sepsis treatment task, demonstrating that our algorithm can learn while ensuring good performance compared to the baseline policy for every patient.


翻译:在实践中部署强化学习的一个关键挑战是安全地探索。我们建议一种自然安全属性 -- -- \ textit{unificly}比保守政策(根据迄今所观察到的所有数据进行适当估计)表现得更好,直到每个单元的勘探预算。然后我们设计一种算法,在勘探时使用UCB强化学习政策,但根据需要,以高概率取代它,以确保安全。我们实验性地验证了我们关于Sepsis治疗任务的结果,表明我们的算法可以学习,同时确保每个病人与基线政策相比,表现良好。

0
下载
关闭预览

相关内容

专知会员服务
97+阅读 · 2021年8月28日
可解释强化学习,Explainable Reinforcement Learning: A Survey
专知会员服务
132+阅读 · 2020年5月14日
100+篇《自监督学习(Self-Supervised Learning)》论文最新合集
专知会员服务
167+阅读 · 2020年3月18日
深度强化学习策略梯度教程,53页ppt
专知会员服务
184+阅读 · 2020年2月1日
【强化学习资源集合】Awesome Reinforcement Learning
专知会员服务
98+阅读 · 2019年12月23日
Stabilizing Transformers for Reinforcement Learning
专知会员服务
60+阅读 · 2019年10月17日
Hierarchically Structured Meta-learning
CreateAMind
27+阅读 · 2019年5月22日
Transferring Knowledge across Learning Processes
CreateAMind
29+阅读 · 2019年5月18日
强化学习的Unsupervised Meta-Learning
CreateAMind
18+阅读 · 2019年1月7日
Unsupervised Learning via Meta-Learning
CreateAMind
43+阅读 · 2019年1月3日
meta learning 17年:MAML SNAIL
CreateAMind
11+阅读 · 2019年1月2日
A Technical Overview of AI & ML in 2018 & Trends for 2019
待字闺中
18+阅读 · 2018年12月24日
已删除
雪球
6+阅读 · 2018年8月19日
Hierarchical Imitation - Reinforcement Learning
CreateAMind
19+阅读 · 2018年5月25日
强化学习族谱
CreateAMind
26+阅读 · 2017年8月2日
Andrew NG的新书《Machine Learning Yearning》
我爱机器学习
11+阅读 · 2016年12月7日
Arxiv
5+阅读 · 2020年6月16日
Arxiv
6+阅读 · 2018年12月10日
Logically-Constrained Reinforcement Learning
Arxiv
3+阅读 · 2018年12月6日
Arxiv
4+阅读 · 2018年10月5日
A Multi-Objective Deep Reinforcement Learning Framework
Arxiv
5+阅读 · 2018年6月12日
Arxiv
5+阅读 · 2018年6月5日
VIP会员
相关资讯
Hierarchically Structured Meta-learning
CreateAMind
27+阅读 · 2019年5月22日
Transferring Knowledge across Learning Processes
CreateAMind
29+阅读 · 2019年5月18日
强化学习的Unsupervised Meta-Learning
CreateAMind
18+阅读 · 2019年1月7日
Unsupervised Learning via Meta-Learning
CreateAMind
43+阅读 · 2019年1月3日
meta learning 17年:MAML SNAIL
CreateAMind
11+阅读 · 2019年1月2日
A Technical Overview of AI & ML in 2018 & Trends for 2019
待字闺中
18+阅读 · 2018年12月24日
已删除
雪球
6+阅读 · 2018年8月19日
Hierarchical Imitation - Reinforcement Learning
CreateAMind
19+阅读 · 2018年5月25日
强化学习族谱
CreateAMind
26+阅读 · 2017年8月2日
Andrew NG的新书《Machine Learning Yearning》
我爱机器学习
11+阅读 · 2016年12月7日
相关论文
Arxiv
5+阅读 · 2020年6月16日
Arxiv
6+阅读 · 2018年12月10日
Logically-Constrained Reinforcement Learning
Arxiv
3+阅读 · 2018年12月6日
Arxiv
4+阅读 · 2018年10月5日
A Multi-Objective Deep Reinforcement Learning Framework
Arxiv
5+阅读 · 2018年6月12日
Arxiv
5+阅读 · 2018年6月5日
Top
微信扫码咨询专知VIP会员