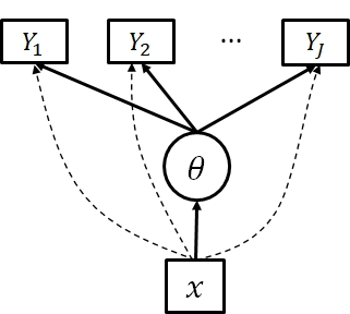
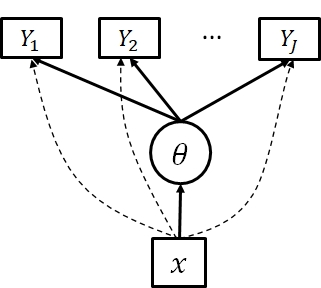
Establishing the invariance property of an instrument (e.g., a questionnaire or test) is a key step for establishing its measurement validity. Measurement invariance is typically assessed by differential item functioning (DIF) analysis, i.e., detecting DIF items whose response distribution depends not only on the latent trait measured by the instrument but also the group membership. DIF analysis is confounded by the group difference in the latent trait distributions. Many DIF analyses require to know several anchor items that are DIF-free and then draw inference on whether each of the rest is a DIF item, where the anchor items are used to calibrate the latent trait distributions. In this paper, we propose a new method for DIF analysis under a multiple indicators and multiple causes (MIMIC) model for DIF. This method adopts a minimal L1 norm condition for identifying the latent trait distributions. It can not only accurately estimate the DIF effects of individual items without requiring prior knowledge about an anchor set, but also draw valid statistical inference, which yields accurate detection of DIF items. The inference results further allow us to control the type-I error for DIF detection. We conduct simulation studies to evaluate the performance of the proposed method and compare it with the anchor-set-based likelihood ratio test approach and the LASSO approach. The proposed method is further applied to analyzing the three personality scales of Eysenck personality questionnaire - revised (EPQ-R).


翻译:确定工具的差值属性(例如问卷或测试)是确定工具的衡量有效性的关键步骤。衡量差值通常通过差别项目功能分析(DIF)来评估,即检测反应分布不仅取决于工具所测量的潜在特性,而且取决于小组成员群体成员组成的潜在特性的DIF项目。DIF分析被潜在特性分布群体差异所掩盖。许多DIF分析要求了解几个没有DIF的固定项目,然后对其余项目是否都是DIF项目进行推断,其中使用固定项目来校准潜在特性分布。在本文件中,我们提议根据多种指标和多重原因(MIMIC)模式对DIF项目进行分析的新方法。这种方法为确定潜在特性分布分布的最小L1标准条件。它不仅能够准确估计单个项目对固定数据集不需事先了解,而且还得出有效的统计推论,从而得出对DIFF项目准确的检测结果。推断结果进一步使我们能够根据多重指标和多重原因进行DIFFA分析分析分析分析。 拟议的标准方法将基于类型系统测试的方法与基准测试方法进行进一步评估。

0
下载
关闭预览

相关内容

【干货书】机器学习速查手册,135页pdf
专知会员服务
127+阅读 · 2020年11月20日
专知会员服务
30+阅读 · 2020年11月4日
Hierarchically Structured Meta-learning
CreateAMind
27+阅读 · 2019年5月22日
目标检测中的Consistent Optimization
极市平台
6+阅读 · 2019年4月23日
IEEE | DSC 2019诚邀稿件 (EI检索)
Call4Papers
10+阅读 · 2019年2月25日
Unsupervised Learning via Meta-Learning
CreateAMind
43+阅读 · 2019年1月3日
A Technical Overview of AI & ML in 2018 & Trends for 2019
待字闺中
18+阅读 · 2018年12月24日
计算机类 | LICS 2019等国际会议信息7条
Call4Papers
3+阅读 · 2018年12月17日
Hierarchical Disentangled Representations
CreateAMind
4+阅读 · 2018年4月15日
【论文】变分推断(Variational inference)的总结
机器学习研究会
39+阅读 · 2017年11月16日
【学习】Hierarchical Softmax
机器学习研究会
4+阅读 · 2017年8月6日
Auto-Encoding GAN
CreateAMind
7+阅读 · 2017年8月4日
Arxiv
0+阅读 · 2021年12月15日
Next Item Recommendation with Self-Attention
Arxiv
5+阅读 · 2018年8月25日
VIP会员
相关资讯
Hierarchically Structured Meta-learning
CreateAMind
27+阅读 · 2019年5月22日
目标检测中的Consistent Optimization
极市平台
6+阅读 · 2019年4月23日
IEEE | DSC 2019诚邀稿件 (EI检索)
Call4Papers
10+阅读 · 2019年2月25日
Unsupervised Learning via Meta-Learning
CreateAMind
43+阅读 · 2019年1月3日
A Technical Overview of AI & ML in 2018 & Trends for 2019
待字闺中
18+阅读 · 2018年12月24日
计算机类 | LICS 2019等国际会议信息7条
Call4Papers
3+阅读 · 2018年12月17日
Hierarchical Disentangled Representations
CreateAMind
4+阅读 · 2018年4月15日
【论文】变分推断(Variational inference)的总结
机器学习研究会
39+阅读 · 2017年11月16日
【学习】Hierarchical Softmax
机器学习研究会
4+阅读 · 2017年8月6日
Auto-Encoding GAN
CreateAMind
7+阅读 · 2017年8月4日
Top
微信扫码咨询专知VIP会员