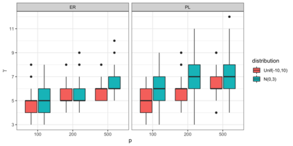
We consider the problem of learning causal structures in sparse high-dimensional settings that may be subject to the presence of (potentially many) unmeasured confounders, as well as selection bias. Based on the structure found in common families of large random networks and examining the representation of local structures in linear structural equation models (SEM), we propose a new local notion of sparsity for consistent structure learning in the presence of latent and selection variables, and develop a new version of the Fast Causal Inference (FCI) algorithm with reduced computational and sample complexity, which we refer to as local FCI (lFCI). The new notion of sparsity allows the presence of highly connected hub nodes, which are common in real-world networks, but problematic for existing methods. Our numerical experiments indicate that the lFCI algorithm achieves state-of-the-art performance across many classes of large random networks, and its performance is superior to that of existing methods for networks containing hub nodes.


翻译:我们考虑了在稀少的高维环境中学习可能受制于(可能很多)无法测量的混乱者存在的因果结构以及选择偏差的问题。根据大型随机网络共同家族中发现的结构以及线性结构方程模型(SEM)中地方结构的表述,我们提出了一种新的局部宽度概念,以便在存在潜在和选择变量的情况下进行连贯的结构学习,并开发了一种具有较低计算和抽样复杂性的快速剖析算法(FCI)新版本,我们称之为本地FCI(LFCI ) 。 新的宽度概念允许存在高度连接的中心节点,这些节点在现实世界网络中很常见,但对现有方法有问题。 我们的数字实验表明,LFCI算法在许多类型的大型随机网络中达到最新水平的性能,其性能优于包含中枢节点的现有网络方法。

0
下载
关闭预览

相关内容

【干货书】机器学习速查手册,135页pdf
专知会员服务
127+阅读 · 2020年11月20日
【2020新书】图机器学习,Graph-Powered Machine Learning
专知会员服务
343+阅读 · 2020年1月27日
【新书】Python编程基础,669页pdf
专知会员服务
197+阅读 · 2019年10月10日
Hierarchically Structured Meta-learning
CreateAMind
27+阅读 · 2019年5月22日
Transferring Knowledge across Learning Processes
CreateAMind
29+阅读 · 2019年5月18日
强化学习的Unsupervised Meta-Learning
CreateAMind
18+阅读 · 2019年1月7日
无监督元学习表示学习
CreateAMind
27+阅读 · 2019年1月4日
Unsupervised Learning via Meta-Learning
CreateAMind
43+阅读 · 2019年1月3日
Hierarchical Imitation - Reinforcement Learning
CreateAMind
19+阅读 · 2018年5月25日
Hierarchical Disentangled Representations
CreateAMind
4+阅读 · 2018年4月15日
【论文】变分推断(Variational inference)的总结
机器学习研究会
39+阅读 · 2017年11月16日
Auto-Encoding GAN
CreateAMind
7+阅读 · 2017年8月4日
Arxiv
58+阅读 · 2021年5月3日
Arxiv
15+阅读 · 2020年12月17日
Arxiv
13+阅读 · 2019年11月14日
Arxiv
3+阅读 · 2018年2月7日
VIP会员
相关资讯
Hierarchically Structured Meta-learning
CreateAMind
27+阅读 · 2019年5月22日
Transferring Knowledge across Learning Processes
CreateAMind
29+阅读 · 2019年5月18日
强化学习的Unsupervised Meta-Learning
CreateAMind
18+阅读 · 2019年1月7日
无监督元学习表示学习
CreateAMind
27+阅读 · 2019年1月4日
Unsupervised Learning via Meta-Learning
CreateAMind
43+阅读 · 2019年1月3日
Hierarchical Imitation - Reinforcement Learning
CreateAMind
19+阅读 · 2018年5月25日
Hierarchical Disentangled Representations
CreateAMind
4+阅读 · 2018年4月15日
【论文】变分推断(Variational inference)的总结
机器学习研究会
39+阅读 · 2017年11月16日
Auto-Encoding GAN
CreateAMind
7+阅读 · 2017年8月4日
Top
微信扫码咨询专知VIP会员