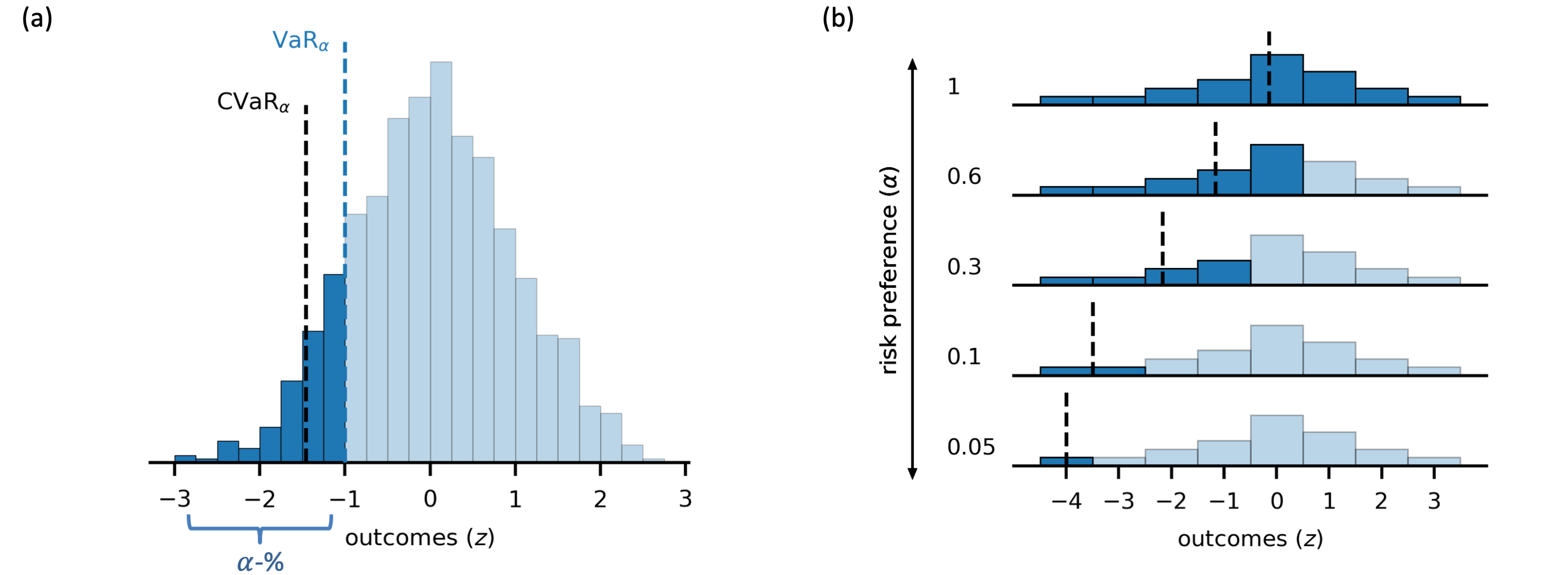
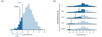
Distributional reinforcement learning (RL) -- in which agents learn about all the possible long-term consequences of their actions, and not just the expected value -- is of great recent interest. One of the most important affordances of a distributional view is facilitating a modern, measured, approach to risk when outcomes are not completely certain. By contrast, psychological and neuroscientific investigations into decision making under risk have utilized a variety of more venerable theoretical models such as prospect theory that lack axiomatically desirable properties such as coherence. Here, we consider a particularly relevant risk measure for modeling human and animal planning, called conditional value-at-risk (CVaR), which quantifies worst-case outcomes (e.g., vehicle accidents or predation). We first adopt a conventional distributional approach to CVaR in a sequential setting and reanalyze the choices of human decision-makers in the well-known two-step task, revealing substantial risk aversion that had been lurking under stickiness and perseveration. We then consider a further critical property of risk sensitivity, namely time consistency, showing alternatives to this form of CVaR that enjoy this desirable characteristic. We use simulations to examine settings in which the various forms differ in ways that have implications for human and animal planning and behavior.


翻译:分配强化学习(RL) -- -- 使代理人了解其行为的所有可能的长期后果,而不仅仅是预期价值 -- -- 在最近引起极大兴趣。分配观点最重要的保障之一是,当结果不完全确定时,促进一种现代的、衡量的、风险的方法。相比之下,对风险决策的心理和神经科学研究利用了各种更可贵的理论模型,例如缺乏一致等同性理想特性的前景理论。在这里,我们考虑了一种特别相关的人类和动物规划模型风险评估措施,称为有条件的值风险(CVAR),它量化了最坏情况的结果(例如,车辆事故或预兆)。我们首先在顺序上对CVaR采取了传统的分配方法,重新分析人类决策者在众所周知的两步任务中的选择,揭示了在粘性与耐性之间潜伏下的重大风险转换。我们随后考虑了一种更关键的风险敏感性特性,即时间一致性,展示了这种方式的替代方法在CVA模型中具有不同形式的模型,我们在这种模型中使用了不同的方式。

1
下载
关闭预览

相关内容

专知会员服务
16+阅读 · 2021年5月21日
【干货书】机器学习速查手册,135页pdf
专知会员服务
127+阅读 · 2020年11月20日
Stabilizing Transformers for Reinforcement Learning
专知会员服务
60+阅读 · 2019年10月17日
Keras François Chollet 《Deep Learning with Python 》, 386页pdf
专知会员服务
161+阅读 · 2019年10月12日
机器学习入门的经验与建议
专知会员服务
94+阅读 · 2019年10月10日
【论文笔记】通俗理解少样本文本分类 (Few-Shot Text Classification) (1)
深度学习自然语言处理
7+阅读 · 2020年4月8日
Transferring Knowledge across Learning Processes
CreateAMind
29+阅读 · 2019年5月18日
计算机 | CCF推荐期刊专刊信息5条
Call4Papers
3+阅读 · 2019年4月10日
逆强化学习-学习人先验的动机
CreateAMind
16+阅读 · 2019年1月18日
人工智能 | SCI期刊专刊信息3条
Call4Papers
5+阅读 · 2019年1月10日
Unsupervised Learning via Meta-Learning
CreateAMind
43+阅读 · 2019年1月3日
A Technical Overview of AI & ML in 2018 & Trends for 2019
待字闺中
18+阅读 · 2018年12月24日
计算机视觉近一年进展综述
机器学习研究会
9+阅读 · 2017年11月25日
【推荐】免费书(草稿):数据科学的数学基础
机器学习研究会
20+阅读 · 2017年10月1日
【学习】Hierarchical Softmax
机器学习研究会
4+阅读 · 2017年8月6日
A causal view on compositional data
Arxiv
0+阅读 · 2022年1月14日
Arxiv
39+阅读 · 2021年11月11日
Arxiv
4+阅读 · 2021年10月19日
Arxiv
6+阅读 · 2020年12月10日
Arxiv
3+阅读 · 2018年2月24日
VIP会员
相关资讯
【论文笔记】通俗理解少样本文本分类 (Few-Shot Text Classification) (1)
深度学习自然语言处理
7+阅读 · 2020年4月8日
Transferring Knowledge across Learning Processes
CreateAMind
29+阅读 · 2019年5月18日
计算机 | CCF推荐期刊专刊信息5条
Call4Papers
3+阅读 · 2019年4月10日
逆强化学习-学习人先验的动机
CreateAMind
16+阅读 · 2019年1月18日
人工智能 | SCI期刊专刊信息3条
Call4Papers
5+阅读 · 2019年1月10日
Unsupervised Learning via Meta-Learning
CreateAMind
43+阅读 · 2019年1月3日
A Technical Overview of AI & ML in 2018 & Trends for 2019
待字闺中
18+阅读 · 2018年12月24日
计算机视觉近一年进展综述
机器学习研究会
9+阅读 · 2017年11月25日
【推荐】免费书(草稿):数据科学的数学基础
机器学习研究会
20+阅读 · 2017年10月1日
【学习】Hierarchical Softmax
机器学习研究会
4+阅读 · 2017年8月6日
相关论文
A causal view on compositional data
Arxiv
0+阅读 · 2022年1月14日
Arxiv
39+阅读 · 2021年11月11日
Arxiv
4+阅读 · 2021年10月19日
Arxiv
6+阅读 · 2020年12月10日
Arxiv
3+阅读 · 2018年2月24日
Top
微信扫码咨询专知VIP会员