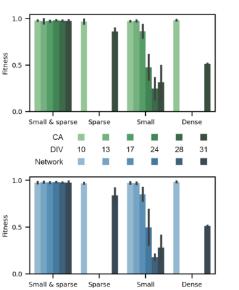
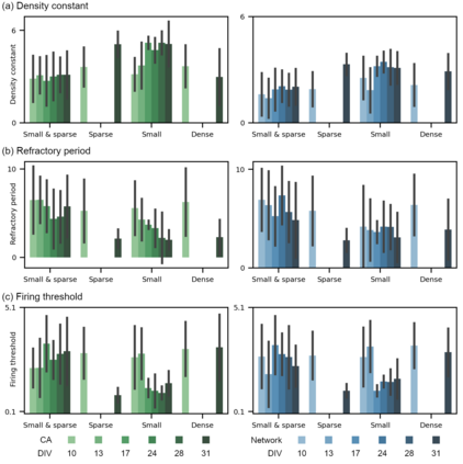
Neuro-inspired models and systems have great potential for applications in unconventional computing. Often, the mechanisms of biological neurons are modeled or mimicked in simulated or physical systems in an attempt to harness some of the computational power of the brain. However, the biological mechanisms at play in neural systems are complicated and challenging to capture and engineer; thus, it can be simpler to turn to a data-driven approach to transfer features of neural behavior to artificial substrates. In the present study, we used an evolutionary algorithm (EA) to produce spiking neural systems that emulate the patterns of behavior of biological neurons in vitro. The aim of this approach was to develop a method of producing models capable of exhibiting complex behavior that may be suitable for use as computational substrates. Our models were able to produce a level of network-wide synchrony and showed a range of behaviors depending on the target data used for their evolution, which was from a range of neuronal culture densities and maturities. The genomes of the top-performing models indicate the excitability and density of connections in the model play an important role in determining the complexity of the produced activity.


翻译:受神经启发的模型和系统在非常规计算中有着巨大的应用潜力。 生物神经元的机制往往在模拟或物理系统中模拟或模仿,试图利用大脑的一些计算能力。 然而,神经系统中的生物机制复杂,难以捕捉和工程;因此,转向由数据驱动的方法将神经行为特征转换为人工基体,可能比较简单。在目前的研究中,我们使用进化算法(EA)来产生神经系统,模仿体外生物神经学行为模式。这一方法的目的是开发一种能够展示复杂行为的模型的方法,这些模型可能适合用作计算基体。我们的模型能够产生网络范围的同步水平,并显示一系列取决于其进化目标数据的行为,这些数据来自一系列神经文化密度和成熟度。 最高级表现模型的基因组显示了模型中关联的易变性和密度,在确定所制作活动的复杂性方面发挥了重要的作用。

0
下载
关闭预览

相关内容

【图神经网络导论】Intro to Graph Neural Networks,176页ppt
专知会员服务
129+阅读 · 2021年6月4日
神经常微分方程教程,50页ppt,A brief tutorial on Neural ODEs
专知会员服务
74+阅读 · 2020年8月2日
Linux导论,Introduction to Linux,96页ppt
专知会员服务
82+阅读 · 2020年7月26日
计算机 | 入门级EI会议ICVRIS 2019诚邀稿件
Call4Papers
10+阅读 · 2019年6月24日
计算机 | IUI 2020等国际会议信息4条
Call4Papers
6+阅读 · 2019年6月17日
已删除
将门创投
4+阅读 · 2019年6月5日
Hierarchically Structured Meta-learning
CreateAMind
27+阅读 · 2019年5月22日
meta learning 17年:MAML SNAIL
CreateAMind
11+阅读 · 2019年1月2日
A Technical Overview of AI & ML in 2018 & Trends for 2019
待字闺中
18+阅读 · 2018年12月24日
CCF B类期刊IPM专刊截稿信息1条
Call4Papers
3+阅读 · 2018年10月11日
可解释的CNN
CreateAMind
17+阅读 · 2017年10月5日
【今日新增】IEEE Trans.专刊截稿信息8条
Call4Papers
7+阅读 · 2017年6月29日
Arxiv
0+阅读 · 2021年12月6日
Arxiv
0+阅读 · 2021年12月5日
Arxiv
5+阅读 · 2017年9月8日
VIP会员
相关资讯
计算机 | 入门级EI会议ICVRIS 2019诚邀稿件
Call4Papers
10+阅读 · 2019年6月24日
计算机 | IUI 2020等国际会议信息4条
Call4Papers
6+阅读 · 2019年6月17日
已删除
将门创投
4+阅读 · 2019年6月5日
Hierarchically Structured Meta-learning
CreateAMind
27+阅读 · 2019年5月22日
meta learning 17年:MAML SNAIL
CreateAMind
11+阅读 · 2019年1月2日
A Technical Overview of AI & ML in 2018 & Trends for 2019
待字闺中
18+阅读 · 2018年12月24日
CCF B类期刊IPM专刊截稿信息1条
Call4Papers
3+阅读 · 2018年10月11日
可解释的CNN
CreateAMind
17+阅读 · 2017年10月5日
【今日新增】IEEE Trans.专刊截稿信息8条
Call4Papers
7+阅读 · 2017年6月29日
Top
微信扫码咨询专知VIP会员