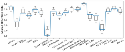
We consider the problem of detecting OoD(Out-of-Distribution) input data when using deep neural networks, and we propose a simple yet effective way to improve the robustness of several popular OoD detection methods against label shift. Our work is motivated by the observation that most existing OoD detection algorithms consider all training/test data as a whole, regardless of which class entry each input activates (inter-class differences). Through extensive experimentation, we have found that such practice leads to a detector whose performance is sensitive and vulnerable to label shift. To address this issue, we propose a class-wise thresholding scheme that can apply to most existing OoD detection algorithms and can maintain similar OoD detection performance even in the presence of label shift in the test distribution.


翻译:我们考虑了在使用深层神经网络时检测OOD(传播外)输入数据的问题,我们提出了一种简单而有效的方法来提高几种流行OOD检测方法对标签转换的稳健性。我们工作的动力在于观察到大多数现有的OOD检测算法将所有培训/测试数据作为一个整体来考虑,而不管每项输入的输入活动是哪一类输入(不同类别之间差异 ) 。我们通过广泛的实验发现,这种做法导致检测器的性能敏感且易被标签转换。为了解决这一问题,我们提出了一个分级临界值计划,可以适用于大多数现有的OOD检测算法,并且即使在测试分布中存在标签转移的情况下,也可以保持类似的OD检测性能。

0
下载
关闭预览

相关内容

专知会员服务
16+阅读 · 2021年5月21日
多标签学习的新趋势(2020 Survey)
专知会员服务
44+阅读 · 2020年12月6日
异常检测(Anomaly Detection)综述
极市平台
20+阅读 · 2020年10月24日
Hierarchically Structured Meta-learning
CreateAMind
27+阅读 · 2019年5月22日
无监督元学习表示学习
CreateAMind
27+阅读 · 2019年1月4日
Unsupervised Learning via Meta-Learning
CreateAMind
43+阅读 · 2019年1月3日
Hierarchical Disentangled Representations
CreateAMind
4+阅读 · 2018年4月15日
【推荐】卷积神经网络类间不平衡问题系统研究
机器学习研究会
6+阅读 · 2017年10月18日
【学习】Hierarchical Softmax
机器学习研究会
4+阅读 · 2017年8月6日
Auto-Encoding GAN
CreateAMind
7+阅读 · 2017年8月4日
已删除
将门创投
4+阅读 · 2017年7月7日
Arxiv
0+阅读 · 2022年1月28日
Arxiv
0+阅读 · 2022年1月27日
Generalized Out-of-Distribution Detection: A Survey
Arxiv
15+阅读 · 2021年10月21日
Arxiv
38+阅读 · 2021年8月31日
VIP会员
相关资讯
异常检测(Anomaly Detection)综述
极市平台
20+阅读 · 2020年10月24日
Hierarchically Structured Meta-learning
CreateAMind
27+阅读 · 2019年5月22日
无监督元学习表示学习
CreateAMind
27+阅读 · 2019年1月4日
Unsupervised Learning via Meta-Learning
CreateAMind
43+阅读 · 2019年1月3日
Hierarchical Disentangled Representations
CreateAMind
4+阅读 · 2018年4月15日
【推荐】卷积神经网络类间不平衡问题系统研究
机器学习研究会
6+阅读 · 2017年10月18日
【学习】Hierarchical Softmax
机器学习研究会
4+阅读 · 2017年8月6日
Auto-Encoding GAN
CreateAMind
7+阅读 · 2017年8月4日
已删除
将门创投
4+阅读 · 2017年7月7日
Top
微信扫码咨询专知VIP会员