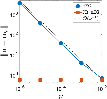
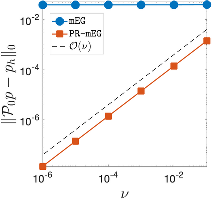
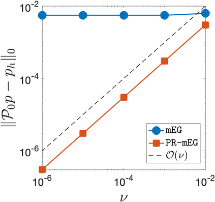
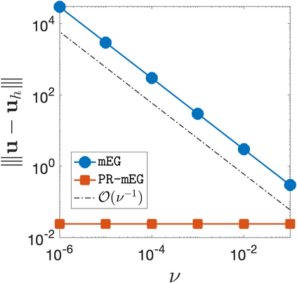
In this paper, we propose a low-cost, parameter-free, and pressure-robust Stokes solver based on the enriched Galerkin (EG) method with a discontinuous velocity enrichment function. The EG method employs the interior penalty discontinuous Galerkin (IPDG) formulation to weakly impose the continuity of the velocity function. However, the symmetric IPDG formulation, despite of its advantage of symmetry, requires a lot of computational effort to choose an optimal penalty parameter and to compute different trace terms. In order to reduce such effort, we replace the derivatives of the velocity function with its weak derivatives computed by the geometric data of elements. Therefore, our modified EG (mEG) method is a parameter-free numerical scheme which has reduced computational complexity as well as optimal rates of convergence. Moreover, we achieve pressure-robustness for the mEG method by employing a velocity reconstruction operator on the load vector on the right-hand side of the discrete system. The theoretical results are confirmed through numerical experiments with two- and three-dimensional examples.


翻译:在本文中,我们基于浓缩的Galerkin (EG) 方法提出一个低成本、无参数和压力-气旋Stokes 求解器,该方法基于浓缩的Galerkin (EG) 方法,具有不连续速度浓缩功能。EG 方法使用内部惩罚不连续的Galerkin (IPDG) 配方来弱化速度函数的连续性。然而,尽管对称 IPDG 配方具有对称的优势,但需要大量计算努力来选择最佳刑罚参数和计算不同的跟踪术语。为了减少这种努力,我们用其微弱衍生物替换速度函数的衍生物,而根据元素的几何数据计算。因此,我们修改后的EGEG (MEG) 方法是一种无参数的数字方法,它减少了计算复杂性,并且是最佳的趋同率。此外,我们通过在离散系统右侧的负载矢量矢量器上使用速度重建操作器,从而实现对 mEGG方法的压力- 的压- 。通过二维和三维实例的数字实验证实了理论结果。

0
下载
关闭预览

相关内容

Eurographics是唯一在欧洲范围内真正的专业计算机图形协会。它汇集了来自世界各地的图形专家,该协会支持其成员推进计算机图形学以及多媒体,科学可视化和人机界面等相关领域的最新技术水平。通过其全球成员资格,EG与美国,日本和其他国家/地区的发展保持着密切联系,从而促进了全球范围内科学技术信息和技能的交流。 官网地址:http://dblp.uni-trier.de/db/conf/eurographics/
不可错过!《机器学习100讲》课程,UBC Mark Schmidt讲授
专知会员服务
76+阅读 · 2022年6月28日
【硬核书】矩阵代数基础,248页pdf
专知会员服务
88+阅读 · 2021年12月9日
专知会员服务
51+阅读 · 2020年12月14日
强化学习最新教程,17页pdf
专知会员服务
182+阅读 · 2019年10月11日
【ICIG2021】Check out the hot new trailer of ICIG2021 Symposium9
中国图象图形学学会CSIG
0+阅读 · 2021年12月17日
【ICIG2021】Check out the hot new trailer of ICIG2021 Symposium8
中国图象图形学学会CSIG
0+阅读 · 2021年11月16日
【ICIG2021】Check out the hot new trailer of ICIG2021 Symposium7
中国图象图形学学会CSIG
0+阅读 · 2021年11月15日
【ICIG2021】Check out the hot new trailer of ICIG2021 Symposium6
中国图象图形学学会CSIG
2+阅读 · 2021年11月12日
【ICIG2021】Check out the hot new trailer of ICIG2021 Symposium4
中国图象图形学学会CSIG
0+阅读 · 2021年11月10日
【ICIG2021】Check out the hot new trailer of ICIG2021 Symposium3
中国图象图形学学会CSIG
0+阅读 · 2021年11月9日
【ICIG2021】Check out the hot new trailer of ICIG2021 Symposium2
中国图象图形学学会CSIG
0+阅读 · 2021年11月8日
【ICIG2021】Check out the hot new trailer of ICIG2021 Symposium1
中国图象图形学学会CSIG
0+阅读 · 2021年11月3日
Transferring Knowledge across Learning Processes
CreateAMind
29+阅读 · 2019年5月18日
国家自然科学基金
0+阅读 · 2015年12月31日
国家自然科学基金
0+阅读 · 2013年12月31日
国家自然科学基金
1+阅读 · 2013年12月31日
国家自然科学基金
0+阅读 · 2013年12月31日
国家自然科学基金
0+阅读 · 2012年12月31日
国家自然科学基金
0+阅读 · 2011年12月31日
国家自然科学基金
0+阅读 · 2011年12月31日
国家自然科学基金
0+阅读 · 2011年12月31日
国家自然科学基金
1+阅读 · 2011年12月31日
国家自然科学基金
0+阅读 · 2008年12月31日
VIP会员
相关资讯
【ICIG2021】Check out the hot new trailer of ICIG2021 Symposium9
中国图象图形学学会CSIG
0+阅读 · 2021年12月17日
【ICIG2021】Check out the hot new trailer of ICIG2021 Symposium8
中国图象图形学学会CSIG
0+阅读 · 2021年11月16日
【ICIG2021】Check out the hot new trailer of ICIG2021 Symposium7
中国图象图形学学会CSIG
0+阅读 · 2021年11月15日
【ICIG2021】Check out the hot new trailer of ICIG2021 Symposium6
中国图象图形学学会CSIG
2+阅读 · 2021年11月12日
【ICIG2021】Check out the hot new trailer of ICIG2021 Symposium4
中国图象图形学学会CSIG
0+阅读 · 2021年11月10日
【ICIG2021】Check out the hot new trailer of ICIG2021 Symposium3
中国图象图形学学会CSIG
0+阅读 · 2021年11月9日
【ICIG2021】Check out the hot new trailer of ICIG2021 Symposium2
中国图象图形学学会CSIG
0+阅读 · 2021年11月8日
【ICIG2021】Check out the hot new trailer of ICIG2021 Symposium1
中国图象图形学学会CSIG
0+阅读 · 2021年11月3日
Transferring Knowledge across Learning Processes
CreateAMind
29+阅读 · 2019年5月18日
相关基金
国家自然科学基金
0+阅读 · 2015年12月31日
国家自然科学基金
0+阅读 · 2013年12月31日
国家自然科学基金
1+阅读 · 2013年12月31日
国家自然科学基金
0+阅读 · 2013年12月31日
国家自然科学基金
0+阅读 · 2012年12月31日
国家自然科学基金
0+阅读 · 2011年12月31日
国家自然科学基金
0+阅读 · 2011年12月31日
国家自然科学基金
0+阅读 · 2011年12月31日
国家自然科学基金
1+阅读 · 2011年12月31日
国家自然科学基金
0+阅读 · 2008年12月31日
Top
微信扫码咨询专知VIP会员