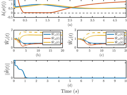
This paper studies the problem of developing an approximate dynamic programming (ADP) framework for learning online the value function of an infinite-horizon optimal problem while obeying safety constraints expressed as control barrier functions (CBFs). Our approach is facilitated by the development of a novel class of CBFs, termed Lyapunov-like CBFs (LCBFs), that retain the beneficial properties of CBFs for developing minimally-invasive safe control policies while also possessing desirable Lyapunov-like qualities such as positive semi-definiteness. We show how these LCBFs can be used to augment a learning-based control policy so as to guarantee safety and then leverage this approach to develop a safe exploration framework in a model-based reinforcement learning setting. We demonstrate that our developed approach can handle more general safety constraints than state-of-the-art safe ADP methods through a variety of numerical examples.


翻译:本文研究开发一个大致动态方案规划框架(ADP),在网上学习一个无限之平的最佳问题的价值功能,同时遵守作为控制屏障功能(CBFs)所表达的安全限制(CBFs)的问题。我们的方法通过开发一个新型的CBFs(称为Lyapunov-类似CBFs(LCDFs))得到推动,这些CBFs保留了CBFs的有益特性,用于制定最低侵入性安全控制政策,同时拥有像Lyapunov这样的像Lyapunov一样的品质,如积极的半确定性。我们展示了如何利用这些LCBFs来加强基于学习的控制政策,以保障安全,然后在基于模型的强化学习环境中利用这一方法制定安全探索框架。我们通过各种数字实例表明,我们制定的方法可以处理比最先进的安全ADP方法更一般性的安全限制。

0
下载
关闭预览

相关内容

深度强化学习策略梯度教程,53页ppt
专知会员服务
184+阅读 · 2020年2月1日
【强化学习资源集合】Awesome Reinforcement Learning
专知会员服务
98+阅读 · 2019年12月23日
Stabilizing Transformers for Reinforcement Learning
专知会员服务
60+阅读 · 2019年10月17日
强化学习最新教程,17页pdf
专知会员服务
182+阅读 · 2019年10月11日
Transferring Knowledge across Learning Processes
CreateAMind
29+阅读 · 2019年5月18日
逆强化学习-学习人先验的动机
CreateAMind
16+阅读 · 2019年1月18日
强化学习的Unsupervised Meta-Learning
CreateAMind
18+阅读 · 2019年1月7日
Unsupervised Learning via Meta-Learning
CreateAMind
43+阅读 · 2019年1月3日
Hierarchical Imitation - Reinforcement Learning
CreateAMind
19+阅读 · 2018年5月25日
Reinforcement Learning: An Introduction 2018第二版 500页
CreateAMind
14+阅读 · 2018年4月27日
推荐免费书|MIT出版《Reinforcement Learning: An Introduction》
全球人工智能
3+阅读 · 2017年12月1日
强化学习族谱
CreateAMind
26+阅读 · 2017年8月2日
强化学习 cartpole_a3c
CreateAMind
9+阅读 · 2017年7月21日
Arxiv
5+阅读 · 2020年6月16日
Arxiv
7+阅读 · 2018年12月26日
Arxiv
4+阅读 · 2018年12月3日
Arxiv
4+阅读 · 2018年10月5日
A Multi-Objective Deep Reinforcement Learning Framework
VIP会员
相关资讯
Transferring Knowledge across Learning Processes
CreateAMind
29+阅读 · 2019年5月18日
逆强化学习-学习人先验的动机
CreateAMind
16+阅读 · 2019年1月18日
强化学习的Unsupervised Meta-Learning
CreateAMind
18+阅读 · 2019年1月7日
Unsupervised Learning via Meta-Learning
CreateAMind
43+阅读 · 2019年1月3日
Hierarchical Imitation - Reinforcement Learning
CreateAMind
19+阅读 · 2018年5月25日
Reinforcement Learning: An Introduction 2018第二版 500页
CreateAMind
14+阅读 · 2018年4月27日
推荐免费书|MIT出版《Reinforcement Learning: An Introduction》
全球人工智能
3+阅读 · 2017年12月1日
强化学习族谱
CreateAMind
26+阅读 · 2017年8月2日
强化学习 cartpole_a3c
CreateAMind
9+阅读 · 2017年7月21日
Top
微信扫码咨询专知VIP会员