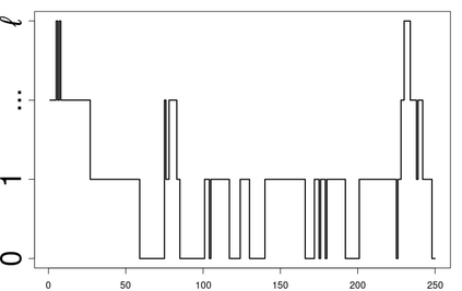
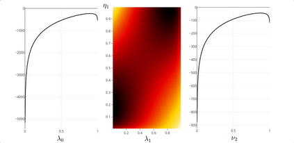
We propose and investigate a hidden Markov model (HMM) for the analysis of dependent, aggregated, superimposed two-state signal recordings. A major motivation for this work is that often these signals cannot be observed individually but only their superposition. Among others, such models are in high demand for the understanding of cross-talk between ion channels, where each single channel might take two different states which cannot be measured separately. As an essential building block, we introduce a parameterized vector norm dependent Markov chain model and characterize it in terms of permutation invariance as well as conditional independence. This building block leads to a hidden Markov chain "sum" process which can be used for analyzing the dependence structure of superimposed two-state signal observations within an HMM. Notably, the model parameters of the vector norm dependent Markov chain are uniquely determined by the parameters of the "sum" process and are therefore identifiable. We provide algorithms to estimate the parameters, discuss model selection and apply our methodology to real-world ion channel data measurements, where we show competitive gating.


翻译:我们建议并调查一个隐蔽的Markov模型(HMM),用于分析依赖性、综合性、超加加的双状态信号记录。这项工作的一个主要动机是,这些信号往往无法单独观测,而只是其叠加性。除其他外,这些模型对于理解离子信道之间的交叉对话非常需要,因为每个单一信道都可能需要两个无法分别测量的不同状态。作为一个基本构件,我们引入了一个参数化的矢量规范依赖性Markov链模型,并以变异性以及有条件独立为特征。这个构件导致一个隐藏的Markov链“总和”过程,可以用来分析HMM内超加双状态信号观测的依赖性结构。值得注意的是,矢量规范依赖性Markov链的示范参数由“总”过程的参数决定,因此可以识别。我们提供算法来估计参数,讨论模型选择,并将我们的方法应用于现实世界离子频道的数据测量,我们在那里显示竞争数据。

0
下载
关闭预览

相关内容

机器学习入门的经验与建议
专知会员服务
94+阅读 · 2019年10月10日
ACM MM 2022 Call for Papers
CCF多媒体专委会
5+阅读 · 2022年3月29日
AIART 2022 Call for Papers
CCF多媒体专委会
1+阅读 · 2022年2月13日
【ICIG2021】Check out the hot new trailer of ICIG2021 Symposium9
中国图象图形学学会CSIG
0+阅读 · 2021年12月17日
【ICIG2021】Check out the hot new trailer of ICIG2021 Symposium8
中国图象图形学学会CSIG
0+阅读 · 2021年11月16日
【ICIG2021】Check out the hot new trailer of ICIG2021 Symposium6
中国图象图形学学会CSIG
2+阅读 · 2021年11月12日
【ICIG2021】Check out the hot new trailer of ICIG2021 Symposium4
中国图象图形学学会CSIG
0+阅读 · 2021年11月10日
【ICIG2021】Check out the hot new trailer of ICIG2021 Symposium2
中国图象图形学学会CSIG
0+阅读 · 2021年11月8日
【ICIG2021】Check out the hot new trailer of ICIG2021 Symposium1
中国图象图形学学会CSIG
0+阅读 · 2021年11月3日
Hierarchically Structured Meta-learning
CreateAMind
27+阅读 · 2019年5月22日
Transferring Knowledge across Learning Processes
CreateAMind
29+阅读 · 2019年5月18日
国家自然科学基金
0+阅读 · 2013年12月31日
国家自然科学基金
0+阅读 · 2013年12月31日
国家自然科学基金
18+阅读 · 2012年12月31日
国家自然科学基金
0+阅读 · 2012年12月31日
国家自然科学基金
0+阅读 · 2012年12月31日
国家自然科学基金
0+阅读 · 2011年12月31日
国家自然科学基金
0+阅读 · 2009年12月31日
国家自然科学基金
1+阅读 · 2008年12月31日
Arxiv
0+阅读 · 2022年7月24日
Arxiv
0+阅读 · 2022年7月21日
Arxiv
54+阅读 · 2022年1月1日
Arxiv
38+阅读 · 2021年8月31日
VIP会员
相关VIP内容
机器学习入门的经验与建议
专知会员服务
94+阅读 · 2019年10月10日
相关资讯
ACM MM 2022 Call for Papers
CCF多媒体专委会
5+阅读 · 2022年3月29日
AIART 2022 Call for Papers
CCF多媒体专委会
1+阅读 · 2022年2月13日
【ICIG2021】Check out the hot new trailer of ICIG2021 Symposium9
中国图象图形学学会CSIG
0+阅读 · 2021年12月17日
【ICIG2021】Check out the hot new trailer of ICIG2021 Symposium8
中国图象图形学学会CSIG
0+阅读 · 2021年11月16日
【ICIG2021】Check out the hot new trailer of ICIG2021 Symposium6
中国图象图形学学会CSIG
2+阅读 · 2021年11月12日
【ICIG2021】Check out the hot new trailer of ICIG2021 Symposium4
中国图象图形学学会CSIG
0+阅读 · 2021年11月10日
【ICIG2021】Check out the hot new trailer of ICIG2021 Symposium2
中国图象图形学学会CSIG
0+阅读 · 2021年11月8日
【ICIG2021】Check out the hot new trailer of ICIG2021 Symposium1
中国图象图形学学会CSIG
0+阅读 · 2021年11月3日
Hierarchically Structured Meta-learning
CreateAMind
27+阅读 · 2019年5月22日
Transferring Knowledge across Learning Processes
CreateAMind
29+阅读 · 2019年5月18日
相关基金
国家自然科学基金
0+阅读 · 2013年12月31日
国家自然科学基金
0+阅读 · 2013年12月31日
国家自然科学基金
18+阅读 · 2012年12月31日
国家自然科学基金
0+阅读 · 2012年12月31日
国家自然科学基金
0+阅读 · 2012年12月31日
国家自然科学基金
0+阅读 · 2011年12月31日
国家自然科学基金
0+阅读 · 2009年12月31日
国家自然科学基金
1+阅读 · 2008年12月31日
Top
微信扫码咨询专知VIP会员