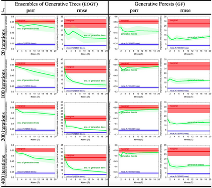
Tabular data represents one of the most prevalent form of data. When it comes to data generation, many approaches would learn a density for the data generation process, but would not necessarily end up with a sampler, even less so being exact with respect to the underlying density. A second issue is on models: while complex modeling based on neural nets thrives in image or text generation (etc.), less is known for powerful generative models on tabular data. A third problem is the visible chasm on tabular data between training algorithms for supervised learning with remarkable properties (e.g. boosting), and a comparative lack of guarantees when it comes to data generation. In this paper, we tackle the three problems, introducing new tree-based generative models convenient for density modeling and tabular data generation that improve on modeling capabilities of recent proposals, and a training algorithm which simplifies the training setting of previous approaches and displays boosting-compliant convergence. This algorithm has the convenient property to rely on a supervised training scheme that can be implemented by a few tweaks to the most popular induction scheme for decision tree induction with two classes. Experiments are provided on missing data imputation and comparing generated data to real data, displaying the quality of the results obtained by our approach, in particular against state of the art.


翻译:暂无翻译

0
下载
关闭预览

相关内容

ACM/IEEE第23届模型驱动工程语言和系统国际会议,是模型驱动软件和系统工程的首要会议系列,由ACM-SIGSOFT和IEEE-TCSE支持组织。自1998年以来,模型涵盖了建模的各个方面,从语言和方法到工具和应用程序。模特的参加者来自不同的背景,包括研究人员、学者、工程师和工业专业人士。MODELS 2019是一个论坛,参与者可以围绕建模和模型驱动的软件和系统交流前沿研究成果和创新实践经验。今年的版本将为建模社区提供进一步推进建模基础的机会,并在网络物理系统、嵌入式系统、社会技术系统、云计算、大数据、机器学习、安全、开源等新兴领域提出建模的创新应用以及可持续性。 官网链接:http://www.modelsconference.org/
FlowQA: Grasping Flow in History for Conversational Machine Comprehension
专知会员服务
34+阅读 · 2019年10月18日
Stabilizing Transformers for Reinforcement Learning
专知会员服务
60+阅读 · 2019年10月17日
Keras François Chollet 《Deep Learning with Python 》, 386页pdf
专知会员服务
163+阅读 · 2019年10月12日
Hierarchically Structured Meta-learning
CreateAMind
27+阅读 · 2019年5月22日
Transferring Knowledge across Learning Processes
CreateAMind
29+阅读 · 2019年5月18日
Unsupervised Learning via Meta-Learning
CreateAMind
43+阅读 · 2019年1月3日
STRCF for Visual Object Tracking
统计学习与视觉计算组
15+阅读 · 2018年5月29日
Focal Loss for Dense Object Detection
统计学习与视觉计算组
12+阅读 · 2018年3月15日
国家自然科学基金
13+阅读 · 2017年12月31日
国家自然科学基金
2+阅读 · 2015年12月31日
国家自然科学基金
2+阅读 · 2015年12月31日
国家自然科学基金
0+阅读 · 2014年12月31日
国家自然科学基金
2+阅读 · 2014年12月31日
Arxiv
0+阅读 · 2023年9月25日
Arxiv
0+阅读 · 2023年9月22日
Arxiv
12+阅读 · 2022年11月21日
Arxiv
32+阅读 · 2022年5月23日
Arxiv
11+阅读 · 2018年5月13日
VIP会员
相关VIP内容
相关资讯
Hierarchically Structured Meta-learning
CreateAMind
27+阅读 · 2019年5月22日
Transferring Knowledge across Learning Processes
CreateAMind
29+阅读 · 2019年5月18日
Unsupervised Learning via Meta-Learning
CreateAMind
43+阅读 · 2019年1月3日
STRCF for Visual Object Tracking
统计学习与视觉计算组
15+阅读 · 2018年5月29日
Focal Loss for Dense Object Detection
统计学习与视觉计算组
12+阅读 · 2018年3月15日
相关论文
Arxiv
0+阅读 · 2023年9月25日
Arxiv
0+阅读 · 2023年9月22日
Arxiv
12+阅读 · 2022年11月21日
Arxiv
32+阅读 · 2022年5月23日
Arxiv
11+阅读 · 2018年5月13日
相关基金
国家自然科学基金
13+阅读 · 2017年12月31日
国家自然科学基金
2+阅读 · 2015年12月31日
国家自然科学基金
2+阅读 · 2015年12月31日
国家自然科学基金
0+阅读 · 2014年12月31日
国家自然科学基金
2+阅读 · 2014年12月31日
Top
微信扫码咨询专知VIP会员