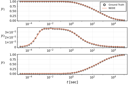
Neural Ordinary Differential Equations (ODE) are a promising approach to learn dynamic models from time-series data in science and engineering applications. This work aims at learning Neural ODE for stiff systems, which are usually raised from chemical kinetic modeling in chemical and biological systems. We first show the challenges of learning neural ODE in the classical stiff ODE systems of Robertson's problem and propose techniques to mitigate the challenges associated with scale separations in stiff systems. We then present successful demonstrations in stiff systems of Robertson's problem and an air pollution problem. The demonstrations show that the usage of deep networks with rectified activations, proper scaling of the network outputs as well as loss functions, and stabilized gradient calculations are the key techniques enabling the learning of stiff neural ODE. The success of learning stiff neural ODE opens up possibilities of using neural ODEs in applications with widely varying time-scales, like chemical dynamics in energy conversion, environmental engineering, and the life sciences.


翻译:从科学和工程应用的时间序列数据中学习动态模型,神经普通差异等同(ODE)是一种很有希望的方法,从科学和工程应用的时间序列数据中学习动态模型。这项工作旨在为硬系统学习神经模型,这些系统通常是从化学和生物系统的化学动能模型中产生的。我们首先展示了在罗伯逊问题古典僵硬的光学模型系统中学习神经模型的挑战,并提出了减轻僵硬系统中与规模分离有关的挑战的技术。然后,我们在罗伯逊问题和空气污染问题的僵硬系统中成功地展示了这些技术。演示表明,使用经过纠正的激活、适当扩大网络输出和损失功能的深网络以及稳定的梯度计算是有助于学习硬神经模型的关键技术。学习硬神经模型的成功开辟了在应用中使用神经模型的可能性,这些应用的时间尺度差异很大,例如能源转换、环境工程和生命科学中的化学动力。

0
下载
关闭预览

相关内容

剑桥大学《数据科学: 原理与实践》课程,附PPT下载
专知会员服务
54+阅读 · 2021年1月20日
神经常微分方程教程,50页ppt,A brief tutorial on Neural ODEs
专知会员服务
74+阅读 · 2020年8月2日
【阿尔托大学】图神经网络,Graph Neural Networks,附60页ppt
专知会员服务
184+阅读 · 2020年4月26日
强化学习最新教程,17页pdf
专知会员服务
182+阅读 · 2019年10月11日
强化学习三篇论文 避免遗忘等
CreateAMind
20+阅读 · 2019年5月24日
Hierarchically Structured Meta-learning
CreateAMind
27+阅读 · 2019年5月22日
人工智能 | SCI期刊专刊信息3条
Call4Papers
5+阅读 · 2019年1月10日
强化学习的Unsupervised Meta-Learning
CreateAMind
18+阅读 · 2019年1月7日
A Technical Overview of AI & ML in 2018 & Trends for 2019
待字闺中
18+阅读 · 2018年12月24日
disentangled-representation-papers
CreateAMind
26+阅读 · 2018年9月12日
【NIPS2018】接收论文列表
专知
5+阅读 · 2018年9月10日
【论文】变分推断(Variational inference)的总结
机器学习研究会
39+阅读 · 2017年11月16日
【学习】Hierarchical Softmax
机器学习研究会
4+阅读 · 2017年8月6日
Arxiv
6+阅读 · 2018年10月3日
VIP会员
相关资讯
强化学习三篇论文 避免遗忘等
CreateAMind
20+阅读 · 2019年5月24日
Hierarchically Structured Meta-learning
CreateAMind
27+阅读 · 2019年5月22日
人工智能 | SCI期刊专刊信息3条
Call4Papers
5+阅读 · 2019年1月10日
强化学习的Unsupervised Meta-Learning
CreateAMind
18+阅读 · 2019年1月7日
A Technical Overview of AI & ML in 2018 & Trends for 2019
待字闺中
18+阅读 · 2018年12月24日
disentangled-representation-papers
CreateAMind
26+阅读 · 2018年9月12日
【NIPS2018】接收论文列表
专知
5+阅读 · 2018年9月10日
【论文】变分推断(Variational inference)的总结
机器学习研究会
39+阅读 · 2017年11月16日
【学习】Hierarchical Softmax
机器学习研究会
4+阅读 · 2017年8月6日
Top
微信扫码咨询专知VIP会员