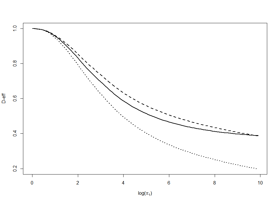
In discrete choice experiments, the information matrix depends on the model parameters. Therefore, $ D $-optimal designs are only locally optimal in the parameter space. This dependence renders the optimization problem very difficult, as standard theory encodes $ D $-optimality in systems of highly nonlinear equations and inequalities. In this work, we connect design theory for discrete choice experiments with Laplacian matrices of connected graphs. We rewrite the $ D $-optimality criterion in terms of Laplacians via Kirchhoff's matrix tree theorem, and show that its dual has a simple description via the Cayley--Menger determinant of the Farris transform of the Laplacian matrix. This results in a drastic reduction of complexity and allows us to implement a gradient descent algorithm to find locally $ D $-optimal designs. For the subclass of Bradley--Terry paired comparison models, we find a direct link to maximum likelihood estimation for Laplacian-constrained Gaussian graphical models. This implies that every locally $ D $-optimal design is a rational function in the parameter when the design is supported on a chordal graph. Finally, we study the performance of our algorithm and demonstrate its application on real and simulated data.


翻译:在离散选择实验中,信息矩阵取决于模型参数。 因此, $ D$- 最佳设计仅在参数空间中是本地最佳的。 这种依赖性使得优化问题非常困难, 因为标准理论将高度非线性方程式和不平等系统中的$ D$- 最佳化编码为高度非线性方程式和不平等。 在这项工作中, 我们将离散选择实验的设计理论与相联图形的Laplacian 矩阵对比模型连接起来。 我们重写了用Kirchhoff 矩阵树的图形模型对 Laplaceans 来说的D$- 最佳性标准, 并显示其双轨通过拉普丽西亚矩阵变法的Cayley- Menger 决定因素简单描述优化问题。 这导致复杂性的大幅降低, 并允许我们使用梯度下降法来查找本地的 $ D $- 最佳化图案设计。 对于布拉德- Termy 配对式比较模型的子类, 我们找到了一个直接链接到 Laplacecian- contragard Gaudes 模型的最大可能性估计。 这意味着, 每一个本地的 $- 都 都 $- 都支持了我们 和 的模型的模型的模型的模型的模型的模型的模拟分析。

0
下载
关闭预览

相关内容

专知会员服务
26+阅读 · 2021年4月2日
专知会员服务
41+阅读 · 2020年9月6日
因果图,Causal Graphs,52页ppt
专知会员服务
253+阅读 · 2020年4月19日
【哈佛大学商学院课程Fall 2019】机器学习可解释性
专知会员服务
105+阅读 · 2019年10月9日
VCIP 2022 Call for Special Session Proposals
CCF多媒体专委会
1+阅读 · 2022年4月1日
IEEE ICKG 2022: Call for Papers
机器学习与推荐算法
3+阅读 · 2022年3月30日
ACM TOMM Call for Papers
CCF多媒体专委会
2+阅读 · 2022年3月23日
AIART 2022 Call for Papers
CCF多媒体专委会
1+阅读 · 2022年2月13日
【ICIG2021】Check out the hot new trailer of ICIG2021 Symposium2
中国图象图形学学会CSIG
0+阅读 · 2021年11月8日
【ICIG2021】Check out the hot new trailer of ICIG2021 Symposium1
中国图象图形学学会CSIG
0+阅读 · 2021年11月3日
Hierarchically Structured Meta-learning
CreateAMind
27+阅读 · 2019年5月22日
Transferring Knowledge across Learning Processes
CreateAMind
29+阅读 · 2019年5月18日
Unsupervised Learning via Meta-Learning
CreateAMind
43+阅读 · 2019年1月3日
A Technical Overview of AI & ML in 2018 & Trends for 2019
待字闺中
18+阅读 · 2018年12月24日
国家自然科学基金
0+阅读 · 2014年12月31日
国家自然科学基金
1+阅读 · 2014年12月31日
国家自然科学基金
5+阅读 · 2013年12月31日
国家自然科学基金
0+阅读 · 2012年12月31日
国家自然科学基金
0+阅读 · 2012年12月31日
国家自然科学基金
1+阅读 · 2012年12月31日
国家自然科学基金
0+阅读 · 2012年12月31日
国家自然科学基金
0+阅读 · 2011年12月31日
国家自然科学基金
0+阅读 · 2009年12月31日
Arxiv
0+阅读 · 2022年10月2日
Arxiv
0+阅读 · 2022年10月1日
Arxiv
23+阅读 · 2022年2月24日
Arxiv
66+阅读 · 2021年6月18日
Arxiv
17+阅读 · 2019年3月28日
VIP会员
相关资讯
VCIP 2022 Call for Special Session Proposals
CCF多媒体专委会
1+阅读 · 2022年4月1日
IEEE ICKG 2022: Call for Papers
机器学习与推荐算法
3+阅读 · 2022年3月30日
ACM TOMM Call for Papers
CCF多媒体专委会
2+阅读 · 2022年3月23日
AIART 2022 Call for Papers
CCF多媒体专委会
1+阅读 · 2022年2月13日
【ICIG2021】Check out the hot new trailer of ICIG2021 Symposium2
中国图象图形学学会CSIG
0+阅读 · 2021年11月8日
【ICIG2021】Check out the hot new trailer of ICIG2021 Symposium1
中国图象图形学学会CSIG
0+阅读 · 2021年11月3日
Hierarchically Structured Meta-learning
CreateAMind
27+阅读 · 2019年5月22日
Transferring Knowledge across Learning Processes
CreateAMind
29+阅读 · 2019年5月18日
Unsupervised Learning via Meta-Learning
CreateAMind
43+阅读 · 2019年1月3日
A Technical Overview of AI & ML in 2018 & Trends for 2019
待字闺中
18+阅读 · 2018年12月24日
相关基金
国家自然科学基金
0+阅读 · 2014年12月31日
国家自然科学基金
1+阅读 · 2014年12月31日
国家自然科学基金
5+阅读 · 2013年12月31日
国家自然科学基金
0+阅读 · 2012年12月31日
国家自然科学基金
0+阅读 · 2012年12月31日
国家自然科学基金
1+阅读 · 2012年12月31日
国家自然科学基金
0+阅读 · 2012年12月31日
国家自然科学基金
0+阅读 · 2011年12月31日
国家自然科学基金
0+阅读 · 2009年12月31日
Top
微信扫码咨询专知VIP会员