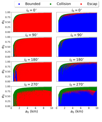
We aim at providing a preliminary approach on the dynamics of a spacecraft in orbit about the asteroid (99942) Apophis during its Earth close approach. The physical properties from the polyhedral shape of the target are derived assigning each tetrahedron to a point mass in its center. That considerably reduces the computation processing time compared to previous methods to evaluate the gravitational potential. The surfaces of section close to Apophis are build considering or not the gravitational perturbations of the Sun, the planets, and the SRP. The Earth is the one that most affects the invisticated region making the vast majority of the orbits to collide or escape from the system. Moreover, from numerical analysis of orbits started on March 1, 2029, the less perturbed region is characterized by the variation of the semimajor axis of 40-days orbits, which do not exceed 2 km very close to the central body ($a < 4$ km, $e < 0.4$). However, no regions investigated could be a possible option for inserting a spacecraft into natural orbits around Apophis during the close approach with our planet. Finally, to solve the stabilization problem in the system, we apply a robust path following control law to control the orbital geometry of a spacecraft. At last, we present an example of successful operation of our orbit control with a total $\bigtriangleup v$ of 0.495 m/s for 60 days. All our results are gathered in the CPM-ASTEROID database, which will be regularly updated by considering other asteroids.


翻译:我们的目标是对小行星轨道上的航天器动态(99942)提供初步方法(99942)Apophis在接近地球时对小行星轨道上的航天器动态(99942)提供初步方法;从目标的多面形的物理特性衍生出目标的物理特性,将每个四面体分配到中心的一个点质量;与以前评估引力潜力的方法相比,这大大缩短了计算处理时间;与Apophis相近的部分表面的表面,考虑到太阳、行星和SRP的引力扰动(99942),而不是考虑到太阳、行星和SRP的引力扰动(4美元),因此,地球是受影响最大的区域,使大多数轨道在轨迹上碰撞或逃离系统。此外,从2029年3月1日开始的轨道对每个四面的物理特性进行了数字分析,从而大大缩短了计算过程的时间。 与A级轨道的半偏移速度相比,距离不超过2公里,考虑太阳、行星和SRPM(0.4美元)的引力扰动变化。然而,任何被调查的区域都不可能通过考虑将航天器插入Apotis周围的自然轨道,从而在接近Apohis,从而在接近轨道的近的轨道上,我们在一个稳定的轨道上运用一个成功的轨道上,最后的轨道控制系统中,最后的轨道上,我们使用一个成功的控制一个我们的一个例例例。

0
下载
关闭预览

相关内容

专知会员服务
45+阅读 · 2020年10月31日
迁移学习简明教程,11页ppt
专知会员服务
109+阅读 · 2020年8月4日
Linux导论,Introduction to Linux,96页ppt
专知会员服务
82+阅读 · 2020年7月26日
【2020新书】Kafka实战:Kafka in Action,209页pdf
专知会员服务
69+阅读 · 2020年3月9日
深度强化学习策略梯度教程,53页ppt
专知会员服务
184+阅读 · 2020年2月1日
强化学习最新教程,17页pdf
专知会员服务
182+阅读 · 2019年10月11日
【SIGGRAPH2019】TensorFlow 2.0深度学习计算机图形学应用
专知会员服务
41+阅读 · 2019年10月9日
MIT新书《强化学习与最优控制》
专知会员服务
281+阅读 · 2019年10月9日
已删除
将门创投
5+阅读 · 2019年4月4日
【论文】变分推断(Variational inference)的总结
机器学习研究会
39+阅读 · 2017年11月16日
Auto-Encoding GAN
CreateAMind
7+阅读 · 2017年8月4日
Arxiv
0+阅读 · 2021年2月15日
Arxiv
0+阅读 · 2021年2月15日
Arxiv
8+阅读 · 2018年7月12日
VIP会员
相关VIP内容
专知会员服务
45+阅读 · 2020年10月31日
迁移学习简明教程,11页ppt
专知会员服务
109+阅读 · 2020年8月4日
Linux导论,Introduction to Linux,96页ppt
专知会员服务
82+阅读 · 2020年7月26日
【2020新书】Kafka实战:Kafka in Action,209页pdf
专知会员服务
69+阅读 · 2020年3月9日
深度强化学习策略梯度教程,53页ppt
专知会员服务
184+阅读 · 2020年2月1日
强化学习最新教程,17页pdf
专知会员服务
182+阅读 · 2019年10月11日
【SIGGRAPH2019】TensorFlow 2.0深度学习计算机图形学应用
专知会员服务
41+阅读 · 2019年10月9日
MIT新书《强化学习与最优控制》
专知会员服务
281+阅读 · 2019年10月9日
相关资讯
已删除
将门创投
5+阅读 · 2019年4月4日
【论文】变分推断(Variational inference)的总结
机器学习研究会
39+阅读 · 2017年11月16日
Auto-Encoding GAN
CreateAMind
7+阅读 · 2017年8月4日
Top
微信扫码咨询专知VIP会员