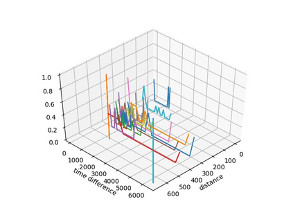
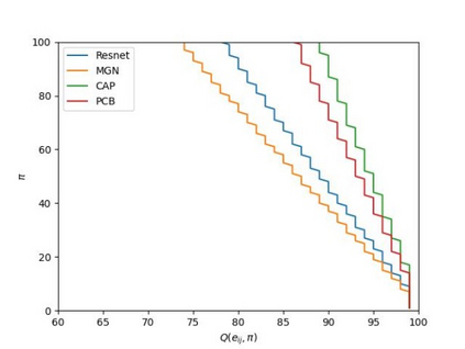
We are concerned about retrieving a query person from the videos taken by a non-overlapping camera network. Existing methods often rely on pure visual matching or consider temporal constraint, but ignore the spatial information of the camera network. To address this problem, we propose a framework of person retrieval based on cross-camera trajectory generation which integrates both temporal and spatial information. To obtain the pedestrian trajectories, we propose a new cross-camera spatio-temporal model that integrates the walking habits of pedestrians and the path layout between cameras, forming a joint probability distribution. Such a spatio-temporal model among a camera network can be specified using sparsely sampled pedestrian data. Based on the spatio-temporal model, the cross-camera trajectories of a specific pedestrian can be extracted by the conditional random field model, and further optimized by the restricted nonnegative matrix factorization. Finally, a trajectory re-ranking technology is proposed to improve the person retrieval results. To verify the effectiveness of our approach, we build the first dataset of cross-camera pedestrian trajectories over an actual monitoring scenario, namely the Person Trajectory Dataset. Extensive experiments have verified the effectiveness and robustness of the proposed method.


翻译:我们担心的是从非重叠相机网络拍摄的视频中检索询问人。 现有方法往往依靠纯视觉匹配或考虑时间限制, 但却忽视相机网络的空间信息。 为了解决这个问题, 我们提议了一个基于跨相机轨道生成的框架, 将时间和空间信息结合起来。 为了获得行人轨迹, 我们提议一个新的跨相机空间时空模型, 将行人行走习惯和相机之间的路径布局结合起来, 形成联合概率分布 。 这样的相机网络间时空模型可以使用稀少的抽样行人数据来指定 。 根据空间时空模型, 特定行人跨镜头轨迹可以通过有条件随机模型提取, 并且通过限制的非负偏差矩阵因子化进一步优化 。 最后, 提议了一种轨迹重新排序技术来改进人行人行人行走习惯和相机之间的路径布局, 核查我们的方法的有效性, 我们建立了第一个跨相机行人行人行车轨迹的数据集模型, 是对数据有效性的可靠测试, 即对数据有效性的正确性假设。

0
下载
关闭预览

相关内容

行人重识别(Person re-identification)也称行人再识别,是利用计算机视觉技术判断图像或者视频序列中是否存在特定行人的技术。广泛被认为是一个图像检索的子问题。给定一个监控行人图像,检索跨设备下的该行人图像。旨在弥补目前固定的摄像头的视觉局限,并可与行人检测/行人跟踪技术相结合,可广泛应用于智能视频监控、智能安保等领域。 由于不同摄像设备之间的差异,同时行人兼具刚性和柔性的特性 ,外观易受穿着、尺

知识荟萃

精品入门和进阶教程、论文和代码整理等

更多

查看相关VIP内容、论文、资讯等
Linux导论,Introduction to Linux,96页ppt
专知会员服务
82+阅读 · 2020年7月26日
强化学习最新教程,17页pdf
专知会员服务
182+阅读 · 2019年10月11日
【哈佛大学商学院课程Fall 2019】机器学习可解释性
专知会员服务
105+阅读 · 2019年10月9日
【SIGGRAPH2019】TensorFlow 2.0深度学习计算机图形学应用
专知会员服务
41+阅读 · 2019年10月9日
ACM TOMM Call for Papers
CCF多媒体专委会
2+阅读 · 2022年3月23日
【ICIG2021】Check out the hot new trailer of ICIG2021 Symposium9
中国图象图形学学会CSIG
0+阅读 · 2021年12月17日
【ICIG2021】Check out the hot new trailer of ICIG2021 Symposium7
中国图象图形学学会CSIG
0+阅读 · 2021年11月15日
【ICIG2021】Check out the hot new trailer of ICIG2021 Symposium6
中国图象图形学学会CSIG
2+阅读 · 2021年11月12日
【ICIG2021】Check out the hot new trailer of ICIG2021 Symposium4
中国图象图形学学会CSIG
0+阅读 · 2021年11月10日
【ICIG2021】Check out the hot new trailer of ICIG2021 Symposium3
中国图象图形学学会CSIG
0+阅读 · 2021年11月9日
【ICIG2021】Check out the hot new trailer of ICIG2021 Symposium2
中国图象图形学学会CSIG
0+阅读 · 2021年11月8日
Hierarchically Structured Meta-learning
CreateAMind
27+阅读 · 2019年5月22日
Unsupervised Learning via Meta-Learning
CreateAMind
43+阅读 · 2019年1月3日
A Technical Overview of AI & ML in 2018 & Trends for 2019
待字闺中
18+阅读 · 2018年12月24日
国家自然科学基金
0+阅读 · 2014年12月31日
国家自然科学基金
0+阅读 · 2012年12月31日
国家自然科学基金
0+阅读 · 2012年12月31日
国家自然科学基金
0+阅读 · 2009年12月31日
国家自然科学基金
0+阅读 · 2008年12月31日
Arxiv
0+阅读 · 2022年6月14日
Arxiv
0+阅读 · 2022年6月10日
VIP会员
相关资讯
ACM TOMM Call for Papers
CCF多媒体专委会
2+阅读 · 2022年3月23日
【ICIG2021】Check out the hot new trailer of ICIG2021 Symposium9
中国图象图形学学会CSIG
0+阅读 · 2021年12月17日
【ICIG2021】Check out the hot new trailer of ICIG2021 Symposium7
中国图象图形学学会CSIG
0+阅读 · 2021年11月15日
【ICIG2021】Check out the hot new trailer of ICIG2021 Symposium6
中国图象图形学学会CSIG
2+阅读 · 2021年11月12日
【ICIG2021】Check out the hot new trailer of ICIG2021 Symposium4
中国图象图形学学会CSIG
0+阅读 · 2021年11月10日
【ICIG2021】Check out the hot new trailer of ICIG2021 Symposium3
中国图象图形学学会CSIG
0+阅读 · 2021年11月9日
【ICIG2021】Check out the hot new trailer of ICIG2021 Symposium2
中国图象图形学学会CSIG
0+阅读 · 2021年11月8日
Hierarchically Structured Meta-learning
CreateAMind
27+阅读 · 2019年5月22日
Unsupervised Learning via Meta-Learning
CreateAMind
43+阅读 · 2019年1月3日
A Technical Overview of AI & ML in 2018 & Trends for 2019
待字闺中
18+阅读 · 2018年12月24日
相关基金
国家自然科学基金
0+阅读 · 2014年12月31日
国家自然科学基金
0+阅读 · 2012年12月31日
国家自然科学基金
0+阅读 · 2012年12月31日
国家自然科学基金
0+阅读 · 2009年12月31日
国家自然科学基金
0+阅读 · 2008年12月31日
Top
微信扫码咨询专知VIP会员