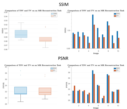
In this thesis, we offer a thorough investigation of different regularisation terms used in variational imaging problems, together with detailed optimisation processes of these problems. We begin by studying smooth problems and partially non-smooth problems in the form of Tikhonov denoising and Total Variation (TV) denoising, respectively. For Tikhonov denoising, we study an accelerated gradient method with adaptive restart, which shows a very rapid convergence rate. However, it is not straightforward to apply this fast algorithm to TV denoising, due to the non-smoothness of its built-in regularisation. To tackle this issue, we propose to utilise duality to convert such a non-smooth problem into a smooth one so that the accelerated gradient method with restart applies naturally. However, we notice that both Tikhonov and TV regularisations have drawbacks, in the form of blurred image edges and staircase artefacts, respectively. To overcome these drawbacks, we propose a novel adaption to Total Generalised Variation (TGV) regularisation called Total Smooth Variation (TSV), which retains edges and meanwhile does not produce results which contain staircase artefacts. To optimise TSV effectively, we then propose the Accelerated Proximal Gradient Algorithm (APGA) which also utilises adaptive restart techniques. Compared to existing state-of-the-art regularisations (e.g. TV), TSV is shown to obtain more effective results on denoising problems as well as advanced imaging applications such as magnetic resonance imaging (MRI) reconstruction and optical flow. TSV removes the staircase artefacts observed when using TV regularisation, but has the added advantage over TGV that it can be efficiently optimised using gradient based methods with Nesterov acceleration and adaptive restart. Code is available at https://github.com/Jbartlett6/Accelerated-First-Order-Method-for-Variational-Imaging.


翻译:在此理论中, 我们提供对变异图像问题中使用的不同常规化术语的彻底调查, 以及这些问题的详细优化进程。 我们首先研究平滑问题和部分非悬浮问题, 分别表现为 Tikhoonov 拆卸和 Total Variation (TV) 淡化。 对于 Tikhonov 拆卸, 我们研究一种加速梯度方法, 恢复适应性重现, 显示一个非常快速的趋同率。 但是, 将这种快速算法应用到电视淡化中并不简单, 原因是其结构的常规化结果不显眼。 要解决这个问题, 我们建议使用双轨化的常规问题, 将这种非双轨化的问题转换为平滑的。 然而, 我们注意到, Tikhonov 和电视的常规化方法都有缺陷, 其形式是图像边缘和更清洁的工艺。 为了克服这些缺陷, 我们提议对总化( TGVVV) 常规化的结果进行新式的调整, 也就是, 将快速的变异性变现的变现, 将结果显示为同步性变现,, 将同步的变现的变变的变的变的变的变。

0
下载
关闭预览

相关内容

专知会员服务
51+阅读 · 2020年12月14日
迁移学习简明教程,11页ppt
专知会员服务
109+阅读 · 2020年8月4日
最新《生成式对抗网络》简介,25页ppt
专知会员服务
176+阅读 · 2020年6月28日
知识图谱推理,50页ppt,Salesforce首席科学家Richard Socher
专知会员服务
111+阅读 · 2020年6月10日
Fariz Darari简明《博弈论Game Theory》介绍,35页ppt
专知会员服务
112+阅读 · 2020年5月15日
《迁移学习简明手册》,93页pdf
专知会员服务
137+阅读 · 2019年12月9日
Hierarchically Structured Meta-learning
CreateAMind
27+阅读 · 2019年5月22日
Transferring Knowledge across Learning Processes
CreateAMind
29+阅读 · 2019年5月18日
【TED】生命中的每一年的智慧
英语演讲视频每日一推
10+阅读 · 2019年1月29日
A Technical Overview of AI & ML in 2018 & Trends for 2019
待字闺中
18+阅读 · 2018年12月24日
人工智能 | COLT 2019等国际会议信息9条
Call4Papers
6+阅读 · 2018年9月21日
disentangled-representation-papers
CreateAMind
26+阅读 · 2018年9月12日
ERROR: GLEW initalization error: Missing GL version
深度强化学习实验室
9+阅读 · 2018年6月13日
Hierarchical Disentangled Representations
CreateAMind
4+阅读 · 2018年4月15日
Auto-Encoding GAN
CreateAMind
7+阅读 · 2017年8月4日
强化学习 cartpole_a3c
CreateAMind
9+阅读 · 2017年7月21日
Arxiv
0+阅读 · 2021年11月28日
Arxiv
7+阅读 · 2021年4月30日
Accelerated Methods for Deep Reinforcement Learning
Arxiv
6+阅读 · 2019年1月10日
Arxiv
6+阅读 · 2018年4月24日
VIP会员
相关VIP内容
专知会员服务
51+阅读 · 2020年12月14日
迁移学习简明教程,11页ppt
专知会员服务
109+阅读 · 2020年8月4日
最新《生成式对抗网络》简介,25页ppt
专知会员服务
176+阅读 · 2020年6月28日
知识图谱推理,50页ppt,Salesforce首席科学家Richard Socher
专知会员服务
111+阅读 · 2020年6月10日
Fariz Darari简明《博弈论Game Theory》介绍,35页ppt
专知会员服务
112+阅读 · 2020年5月15日
《迁移学习简明手册》,93页pdf
专知会员服务
137+阅读 · 2019年12月9日
相关资讯
Hierarchically Structured Meta-learning
CreateAMind
27+阅读 · 2019年5月22日
Transferring Knowledge across Learning Processes
CreateAMind
29+阅读 · 2019年5月18日
【TED】生命中的每一年的智慧
英语演讲视频每日一推
10+阅读 · 2019年1月29日
A Technical Overview of AI & ML in 2018 & Trends for 2019
待字闺中
18+阅读 · 2018年12月24日
人工智能 | COLT 2019等国际会议信息9条
Call4Papers
6+阅读 · 2018年9月21日
disentangled-representation-papers
CreateAMind
26+阅读 · 2018年9月12日
ERROR: GLEW initalization error: Missing GL version
深度强化学习实验室
9+阅读 · 2018年6月13日
Hierarchical Disentangled Representations
CreateAMind
4+阅读 · 2018年4月15日
Auto-Encoding GAN
CreateAMind
7+阅读 · 2017年8月4日
强化学习 cartpole_a3c
CreateAMind
9+阅读 · 2017年7月21日
Top
微信扫码咨询专知VIP会员