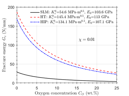
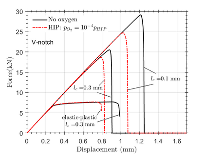
Ti-6Al-4V is a titanium alloy with excellent properties for lightweight applications and its production through Additive Manufacturing processes is attractive for different industrial sectors. In this work, the influence of mechanical properties on the notch fracture resistance of Ti-6Al-4V produced by Selective Laser Melting is numerically investigated. Literature data is used to inform material behaviour. The as-built brittle behaviour is compared to the enhanced ductile response after heat treatment (HT) and hot isostatic pressing (HIP) post-processes. A Phase Field framework is adopted to capture damage nucleation and propagation from two different notch geometries and a discussion on the influence of fracture energy and the characteristic length is carried out. In addition, the influence of oxygen uptake is analysed by reproducing non-inert atmospheres during HT and HIP, showing that oxygen shifts fracture to brittle failures due to the formation of an alpha case layer, especially for the V-notch geometry. Results show that a pure elastic behaviour can be assumed for the as-built SLM condition, whereas elastic-plastic phenomena must be modelled for specimens subjected to heat treatment or hot isostatic pressing. The present brittle Phase Field framework coupled with an elastic-plastic constitutive analysis is demonstrated to be a robust prediction tool for notch fracture after different post-processing routes.


翻译:Ti-6Al-4V是一种钛合金,其性能极佳,可用于轻量级应用,并通过 " 添加制造过程 " 进行生产,对不同的工业部门具有吸引力。在这项工作中,对选择性激光熔化产生的Ti-6Al-4V的机械性能对酸性抗裂力的影响进行了数字调查。文献数据用于为物质行为提供信息。自建的肌肉行为与热处理(HT)和热异静脉压(HIP)处理后强化的粘性反应相比。采用了一个分阶段实地框架,以捕捉两种不同诺氏色谱的破坏核分离和传播,并讨论断裂能量和特征长度的影响。此外,通过在HT和HIP期间生成非内层大气来分析吸收氧的影响,表明氧会发生骨折,形成甲型案例层,特别是V-notch的地球测量。结果显示,对于固定的可持续土地管理状况,可以假定一种纯弹性的弹性行为,而不是关于断裂能量能量能量和特性的讨论。此外,对血压级平流分析后,必须先进行弹性的实地结构分析。

0
下载
关闭预览

相关内容

不可错过!《机器学习100讲》课程,UBC Mark Schmidt讲授
专知会员服务
76+阅读 · 2022年6月28日
剑桥大学《数据科学: 原理与实践》课程,附PPT下载
专知会员服务
54+阅读 · 2021年1月20日
Linux导论,Introduction to Linux,96页ppt
专知会员服务
82+阅读 · 2020年7月26日
100+篇《自监督学习(Self-Supervised Learning)》论文最新合集
专知会员服务
167+阅读 · 2020年3月18日
强化学习最新教程,17页pdf
专知会员服务
182+阅读 · 2019年10月11日
机器学习入门的经验与建议
专知会员服务
94+阅读 · 2019年10月10日
AIART 2022 Call for Papers
CCF多媒体专委会
1+阅读 · 2022年2月13日
【ICIG2021】Latest News & Announcements of the Workshop
中国图象图形学学会CSIG
0+阅读 · 2021年12月20日
【ICIG2021】Check out the hot new trailer of ICIG2021 Symposium8
中国图象图形学学会CSIG
0+阅读 · 2021年11月16日
【ICIG2021】Check out the hot new trailer of ICIG2021 Symposium4
中国图象图形学学会CSIG
0+阅读 · 2021年11月10日
【ICIG2021】Latest News & Announcements of the Plenary Talk1
中国图象图形学学会CSIG
0+阅读 · 2021年11月1日
【ICIG2021】Latest News & Announcements of the Industry Talk2
中国图象图形学学会CSIG
0+阅读 · 2021年7月29日
【ICIG2021】Latest News & Announcements of the Industry Talk1
中国图象图形学学会CSIG
0+阅读 · 2021年7月28日
Hierarchically Structured Meta-learning
CreateAMind
27+阅读 · 2019年5月22日
Transferring Knowledge across Learning Processes
CreateAMind
29+阅读 · 2019年5月18日
A Technical Overview of AI & ML in 2018 & Trends for 2019
待字闺中
18+阅读 · 2018年12月24日
国家自然科学基金
0+阅读 · 2013年12月31日
国家自然科学基金
0+阅读 · 2013年12月31日
国家自然科学基金
0+阅读 · 2012年12月31日
国家自然科学基金
1+阅读 · 2008年12月31日
VIP会员
相关VIP内容
不可错过!《机器学习100讲》课程,UBC Mark Schmidt讲授
专知会员服务
76+阅读 · 2022年6月28日
剑桥大学《数据科学: 原理与实践》课程,附PPT下载
专知会员服务
54+阅读 · 2021年1月20日
Linux导论,Introduction to Linux,96页ppt
专知会员服务
82+阅读 · 2020年7月26日
100+篇《自监督学习(Self-Supervised Learning)》论文最新合集
专知会员服务
167+阅读 · 2020年3月18日
强化学习最新教程,17页pdf
专知会员服务
182+阅读 · 2019年10月11日
机器学习入门的经验与建议
专知会员服务
94+阅读 · 2019年10月10日
相关资讯
AIART 2022 Call for Papers
CCF多媒体专委会
1+阅读 · 2022年2月13日
【ICIG2021】Latest News & Announcements of the Workshop
中国图象图形学学会CSIG
0+阅读 · 2021年12月20日
【ICIG2021】Check out the hot new trailer of ICIG2021 Symposium8
中国图象图形学学会CSIG
0+阅读 · 2021年11月16日
【ICIG2021】Check out the hot new trailer of ICIG2021 Symposium4
中国图象图形学学会CSIG
0+阅读 · 2021年11月10日
【ICIG2021】Latest News & Announcements of the Plenary Talk1
中国图象图形学学会CSIG
0+阅读 · 2021年11月1日
【ICIG2021】Latest News & Announcements of the Industry Talk2
中国图象图形学学会CSIG
0+阅读 · 2021年7月29日
【ICIG2021】Latest News & Announcements of the Industry Talk1
中国图象图形学学会CSIG
0+阅读 · 2021年7月28日
Hierarchically Structured Meta-learning
CreateAMind
27+阅读 · 2019年5月22日
Transferring Knowledge across Learning Processes
CreateAMind
29+阅读 · 2019年5月18日
A Technical Overview of AI & ML in 2018 & Trends for 2019
待字闺中
18+阅读 · 2018年12月24日
相关基金
国家自然科学基金
0+阅读 · 2013年12月31日
国家自然科学基金
0+阅读 · 2013年12月31日
国家自然科学基金
0+阅读 · 2012年12月31日
国家自然科学基金
1+阅读 · 2008年12月31日
Top
微信扫码咨询专知VIP会员