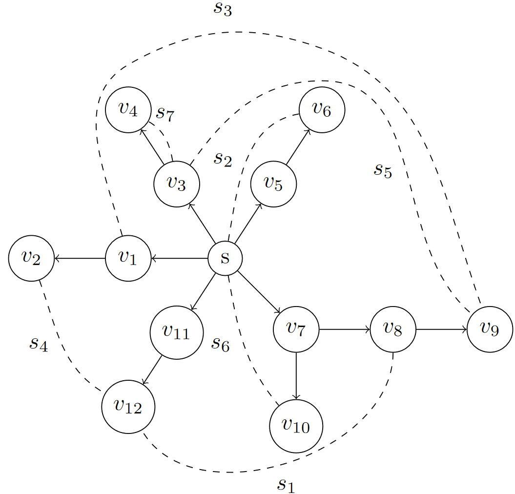
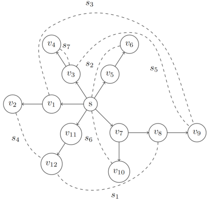
We analyze a distributed approach for automatically reconfiguring distribution systems into an operational radial network after a fault occurs by creating an ordering in which switches automatically close upon detection of a downstream fault. The switches' reconnection ordering significantly impacts the expected time to reconnect under normal disruptions and thus affects reliability metrics such as SAIDI and CAIDI, which are the basis for regulator-imposed financial incentives for performance. We model the problem of finding a switch reconnection ordering that minimizes SAIDI and the expected reconnection time as Minimum Reconnection Time (MRT), which we show is a special case of the well-known minimum linear ordering problem from the submodular optimization literature, and in particular the Min Sum Set Cover problem (MSSC). We prove that MRT is also NP-hard. We generalize the kernel-based rounding approaches of Bansal et al. for Min Sum Vertex Cover to give tight approximation guarantees for MSSC on c-uniform hypergraphs for all c. For all instances of MSSC, our methods have a strictly better approximation ratio guarantee than the best possible methods for general MSSC. Finally, we consider optimizing multiple metrics simultaneously using local search methods that also reconfigure the system's base tree to ensure fairness in service disruptions and reconnection times and reduce energy loss. We computationally validate our approach on the NREL SMART-DS Greensboro synthetic urban-suburban network. We evaluate the performance of our reconfiguration methods and show significant reductions compared to single-metric-based optimizations.


翻译:我们分析在故障发生后自动将分销系统重新配置成一个可操作的放射网络的分布式方法,方法是在发现下游故障时设置一个命令,自动切开自动关闭。开关重新连接,对正常中断下重新连接的预期时间有重大影响,从而影响可靠性指标,如SAIDI和CAIDI,这是监管者对业绩实施财政奖励的基础。我们模拟了找到切换重新连接的问题,以尽可能减少SAIDI和预期作为最小再连接时间的重新连接时间。我们显示,从亚模版优化文献中,特别是中,我们发现一个众所周知的最低线性线性定顺序问题的特殊例子。我们证明,MRT在正常中断下重新连接的预期时间中,也会对预期的时间产生重大影响,从而影响SDIE和CIS的可靠性。我们把Bansal 和 al的内核循环方法推广到MERTE, 对所有基于 c的超度超度超速测算,我们的方法比一般的绿色再整流优化数据系统的最佳搜索比率比率。最后,我们考虑将本地再优化的系统进行多度的升级的系统,并同时调整我们的系统。

0
下载
关闭预览

相关内容

【图与几何深度学习】Graph and geometric deep learning,49页ppt
专知会员服务
42+阅读 · 2021年4月2日
Python分布式计算,171页pdf,Distributed Computing with Python
专知会员服务
108+阅读 · 2020年5月3日
Stabilizing Transformers for Reinforcement Learning
专知会员服务
60+阅读 · 2019年10月17日
【新书】Python编程基础,669页pdf
专知会员服务
197+阅读 · 2019年10月10日
MIT新书《强化学习与最优控制》
专知会员服务
281+阅读 · 2019年10月9日
已删除
将门创投
7+阅读 · 2019年10月10日
19篇ICML2019论文摘录选读!
专知
28+阅读 · 2019年4月28日
逆强化学习-学习人先验的动机
CreateAMind
16+阅读 · 2019年1月18日
强化学习的Unsupervised Meta-Learning
CreateAMind
18+阅读 · 2019年1月7日
Unsupervised Learning via Meta-Learning
CreateAMind
43+阅读 · 2019年1月3日
Disentangled的假设的探讨
CreateAMind
9+阅读 · 2018年12月10日
disentangled-representation-papers
CreateAMind
26+阅读 · 2018年9月12日
【NIPS2018】接收论文列表
专知
5+阅读 · 2018年9月10日
Hierarchical Disentangled Representations
CreateAMind
4+阅读 · 2018年4月15日
Auto-Encoding GAN
CreateAMind
7+阅读 · 2017年8月4日
Arxiv
0+阅读 · 2021年6月4日
Arxiv
0+阅读 · 2021年6月4日
VIP会员
相关VIP内容
【图与几何深度学习】Graph and geometric deep learning,49页ppt
专知会员服务
42+阅读 · 2021年4月2日
Python分布式计算,171页pdf,Distributed Computing with Python
专知会员服务
108+阅读 · 2020年5月3日
Stabilizing Transformers for Reinforcement Learning
专知会员服务
60+阅读 · 2019年10月17日
【新书】Python编程基础,669页pdf
专知会员服务
197+阅读 · 2019年10月10日
MIT新书《强化学习与最优控制》
专知会员服务
281+阅读 · 2019年10月9日
相关资讯
已删除
将门创投
7+阅读 · 2019年10月10日
19篇ICML2019论文摘录选读!
专知
28+阅读 · 2019年4月28日
逆强化学习-学习人先验的动机
CreateAMind
16+阅读 · 2019年1月18日
强化学习的Unsupervised Meta-Learning
CreateAMind
18+阅读 · 2019年1月7日
Unsupervised Learning via Meta-Learning
CreateAMind
43+阅读 · 2019年1月3日
Disentangled的假设的探讨
CreateAMind
9+阅读 · 2018年12月10日
disentangled-representation-papers
CreateAMind
26+阅读 · 2018年9月12日
【NIPS2018】接收论文列表
专知
5+阅读 · 2018年9月10日
Hierarchical Disentangled Representations
CreateAMind
4+阅读 · 2018年4月15日
Auto-Encoding GAN
CreateAMind
7+阅读 · 2017年8月4日
Top
微信扫码咨询专知VIP会员