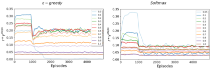
Reinforcement Learning (RL) algorithms have led to recent successes in solving complex games, such as Atari or Starcraft, and to a huge impact in real-world applications, such as cybersecurity or autonomous driving. In the side of the drawbacks, recent works have shown how the performance of RL algorithms decreases under the influence of soft changes in the reward function. However, little work has been done about how sensitive these disturbances are depending on the aggressiveness of the attack and the learning exploration strategy. In this paper, we propose to fill this gap in the literature analyzing the effects of different attack strategies based on reward perturbations, and studying the effect in the learner depending on its exploration strategy. In order to explain all the behaviors, we choose a sub-class of MDPs: episodic, stochastic goal-only-rewards MDPs, and in particular, an intelligible grid domain as a benchmark. In this domain, we demonstrate that smoothly crafting adversarial rewards are able to mislead the learner, and that using low exploration probability values, the policy learned is more robust to corrupt rewards. Finally, in the proposed learning scenario, a counterintuitive result arises: attacking at each learning episode is the lowest cost attack strategy.


翻译:强化学习(RL)算法导致最近成功解决了Atarri或Starcraft等复杂游戏(Atari或Starcraft)等复杂游戏,并在网络安全或自主驾驶等现实应用中产生了巨大影响。在缺点的另一方面,最近的工程表明,在奖励功能的软变化影响下,RL算法的表现如何在奖励功能的软变化的影响下下降。然而,关于这些扰动的敏感程度如何取决于攻击的侵略性和学习探索战略,这些攻击性攻击性攻击性攻击战略取决于攻击攻击的侵略性和学习探索策略。在本文件中,我们提议填补文献分析不同攻击战略(例如Atarri或Starcraft)影响的这一差距,对不同攻击战略(例如Atarri 或Starcccraft ) 影响的影响进行了巨大影响,以及实际学习者根据探索战略的策略来研究。为了解释所有的行为,我们选择了RLL算算算算算算算算算法的亚值,我们选择了MDP的子类:在奖励的分数上,我们选择了一个最小的学习计划是最低的策略。最后,学习一个最低的策略是学习计划。 学习一个最低的策略。 学习计划。 学习计划是: 学习一个最低的, 学习计划。 学习 学习 学习 学习一个最低的策略是: 学习一个最低的, 学习计划。

0
下载
关闭预览

相关内容

【强化学习资源集合】Awesome Reinforcement Learning
专知会员服务
98+阅读 · 2019年12月23日
Stabilizing Transformers for Reinforcement Learning
专知会员服务
60+阅读 · 2019年10月17日
强化学习最新教程,17页pdf
专知会员服务
182+阅读 · 2019年10月11日
【哈佛大学商学院课程Fall 2019】机器学习可解释性
专知会员服务
105+阅读 · 2019年10月9日
Transferring Knowledge across Learning Processes
CreateAMind
29+阅读 · 2019年5月18日
动物脑的好奇心和强化学习的好奇心
CreateAMind
10+阅读 · 2019年1月26日
逆强化学习-学习人先验的动机
CreateAMind
16+阅读 · 2019年1月18日
强化学习的Unsupervised Meta-Learning
CreateAMind
18+阅读 · 2019年1月7日
Unsupervised Learning via Meta-Learning
CreateAMind
43+阅读 · 2019年1月3日
meta learning 17年:MAML SNAIL
CreateAMind
11+阅读 · 2019年1月2日
RL 真经
CreateAMind
5+阅读 · 2018年12月28日
A Technical Overview of AI & ML in 2018 & Trends for 2019
待字闺中
18+阅读 · 2018年12月24日
Hierarchical Imitation - Reinforcement Learning
CreateAMind
19+阅读 · 2018年5月25日
强化学习族谱
CreateAMind
26+阅读 · 2017年8月2日
Risk-Aware Active Inverse Reinforcement Learning
Arxiv
8+阅读 · 2019年1月8日
Arxiv
7+阅读 · 2018年12月26日
Arxiv
4+阅读 · 2018年10月5日
VIP会员
相关资讯
Transferring Knowledge across Learning Processes
CreateAMind
29+阅读 · 2019年5月18日
动物脑的好奇心和强化学习的好奇心
CreateAMind
10+阅读 · 2019年1月26日
逆强化学习-学习人先验的动机
CreateAMind
16+阅读 · 2019年1月18日
强化学习的Unsupervised Meta-Learning
CreateAMind
18+阅读 · 2019年1月7日
Unsupervised Learning via Meta-Learning
CreateAMind
43+阅读 · 2019年1月3日
meta learning 17年:MAML SNAIL
CreateAMind
11+阅读 · 2019年1月2日
RL 真经
CreateAMind
5+阅读 · 2018年12月28日
A Technical Overview of AI & ML in 2018 & Trends for 2019
待字闺中
18+阅读 · 2018年12月24日
Hierarchical Imitation - Reinforcement Learning
CreateAMind
19+阅读 · 2018年5月25日
强化学习族谱
CreateAMind
26+阅读 · 2017年8月2日
Top
微信扫码咨询专知VIP会员