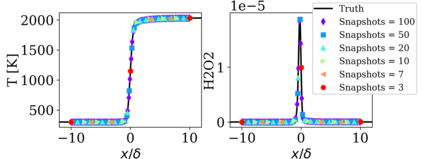
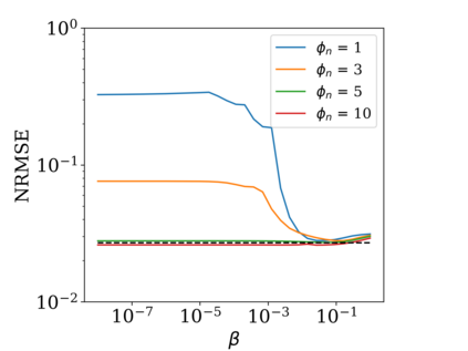
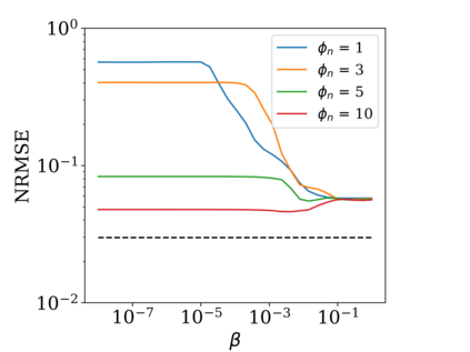
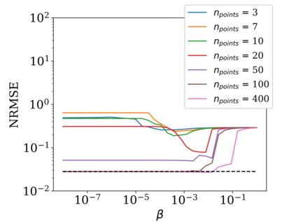
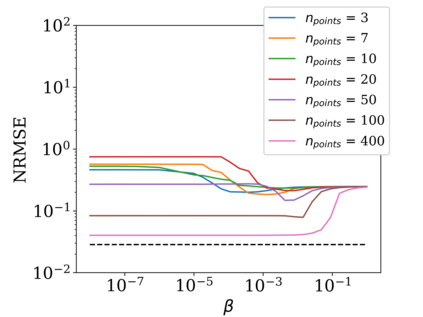
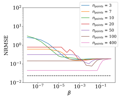
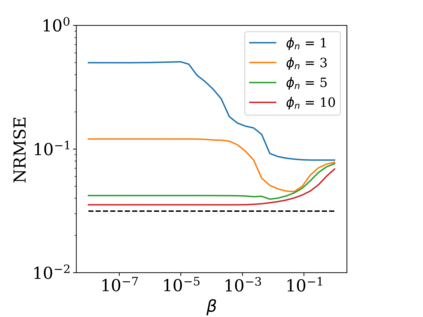
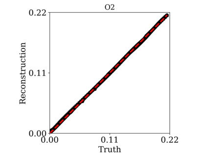
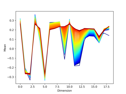
Reduced order models based on the transport of a lower dimensional manifold representation of the thermochemical state, such as Principal Component (PC) transport and Machine Learning (ML) techniques, have been developed to reduce the computational cost associated with the Direct Numerical Simulations (DNS) of reactive flows. Both PC transport and ML normally require an abundance of data to exhibit sufficient predictive accuracy, which might not be available due to the prohibitive cost of DNS or experimental data acquisition. To alleviate such difficulties, similar data from an existing dataset or domain (source domain) can be used to train ML models, potentially resulting in adequate predictions in the domain of interest (target domain). This study presents a novel probabilistic transfer learning (TL) framework to enhance the trust in ML models in correctly predicting the thermochemical state in a lower dimensional manifold and a sparse data setting. The framework uses Bayesian neural networks, and autoencoders, to reduce the dimensionality of the state space and diffuse the knowledge from the source to the target domain. The new framework is applied to one-dimensional freely-propagating flame solutions under different data sparsity scenarios. The results reveal that there is an optimal amount of knowledge to be transferred, which depends on the amount of data available in the target domain and the similarity between the domains. TL can reduce the reconstruction error by one order of magnitude for cases with large sparsity. The new framework required 10 times less data for the target domain to reproduce the same error as in the abundant data scenario. Furthermore, comparisons with a state-of-the-art deterministic TL strategy show that the probabilistic method can require four times less data to achieve the same reconstruction error.


翻译:暂无翻译

0
下载
关闭预览

相关内容

专知会员服务
55+阅读 · 2020年3月16日
【SIGGRAPH2019】TensorFlow 2.0深度学习计算机图形学应用
专知会员服务
41+阅读 · 2019年10月9日
学习自然语言处理路线图
专知会员服务
140+阅读 · 2019年9月24日
灾难性遗忘问题新视角:迁移-干扰平衡
CreateAMind
17+阅读 · 2019年7月6日
强化学习的Unsupervised Meta-Learning
CreateAMind
18+阅读 · 2019年1月7日
meta learning 17年:MAML SNAIL
CreateAMind
11+阅读 · 2019年1月2日
利用动态深度学习预测金融时间序列基于Python
量化投资与机器学习
18+阅读 · 2018年10月30日
disentangled-representation-papers
CreateAMind
26+阅读 · 2018年9月12日
论文浅尝 | 利用 RNN 和 CNN 构建基于 FreeBase 的问答系统
开放知识图谱
11+阅读 · 2018年4月25日
Layer Normalization原理及其TensorFlow实现
深度学习每日摘要
32+阅读 · 2017年6月17日
国家自然科学基金
2+阅读 · 2015年12月31日
国家自然科学基金
0+阅读 · 2015年12月31日
国家自然科学基金
0+阅读 · 2015年12月31日
国家自然科学基金
2+阅读 · 2015年12月31日
国家自然科学基金
0+阅读 · 2015年12月31日
国家自然科学基金
0+阅读 · 2015年12月31日
国家自然科学基金
0+阅读 · 2015年12月31日
国家自然科学基金
0+阅读 · 2014年12月31日
国家自然科学基金
0+阅读 · 2014年12月31日
国家自然科学基金
6+阅读 · 2014年12月31日
VIP会员
相关VIP内容
专知会员服务
55+阅读 · 2020年3月16日
【SIGGRAPH2019】TensorFlow 2.0深度学习计算机图形学应用
专知会员服务
41+阅读 · 2019年10月9日
学习自然语言处理路线图
专知会员服务
140+阅读 · 2019年9月24日
相关资讯
灾难性遗忘问题新视角:迁移-干扰平衡
CreateAMind
17+阅读 · 2019年7月6日
强化学习的Unsupervised Meta-Learning
CreateAMind
18+阅读 · 2019年1月7日
meta learning 17年:MAML SNAIL
CreateAMind
11+阅读 · 2019年1月2日
利用动态深度学习预测金融时间序列基于Python
量化投资与机器学习
18+阅读 · 2018年10月30日
disentangled-representation-papers
CreateAMind
26+阅读 · 2018年9月12日
论文浅尝 | 利用 RNN 和 CNN 构建基于 FreeBase 的问答系统
开放知识图谱
11+阅读 · 2018年4月25日
Layer Normalization原理及其TensorFlow实现
深度学习每日摘要
32+阅读 · 2017年6月17日
相关基金
国家自然科学基金
2+阅读 · 2015年12月31日
国家自然科学基金
0+阅读 · 2015年12月31日
国家自然科学基金
0+阅读 · 2015年12月31日
国家自然科学基金
2+阅读 · 2015年12月31日
国家自然科学基金
0+阅读 · 2015年12月31日
国家自然科学基金
0+阅读 · 2015年12月31日
国家自然科学基金
0+阅读 · 2015年12月31日
国家自然科学基金
0+阅读 · 2014年12月31日
国家自然科学基金
0+阅读 · 2014年12月31日
国家自然科学基金
6+阅读 · 2014年12月31日
Top
微信扫码咨询专知VIP会员