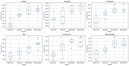
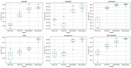
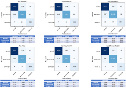
Recently, the outbreak of the novel Coronavirus disease 2019 (COVID-19) pandemic has seriously endangered human health and life. Due to limited availability of test kits, the need for auxiliary diagnostic approach has increased. Recent research has shown radiography of COVID-19 patient, such as CT and X-ray, contains salient information about the COVID-19 virus and could be used as an alternative diagnosis method. Chest X-ray (CXR) due to its faster imaging time, wide availability, low cost and portability gains much attention and becomes very promising. Computational methods with high accuracy and robustness are required for rapid triaging of patients and aiding radiologist in the interpretation of the collected data. In this study, we design a novel multi-feature convolutional neural network (CNN) architecture for multi-class improved classification of COVID-19 from CXR images. CXR images are enhanced using a local phase-based image enhancement method. The enhanced images, together with the original CXR data, are used as an input to our proposed CNN architecture. Using ablation studies, we show the effectiveness of the enhanced images in improving the diagnostic accuracy. We provide quantitative evaluation on two datasets and qualitative results for visual inspection. Quantitative evaluation is performed on data consisting of 8,851 normal (healthy), 6,045 pneumonia, and 3,323 Covid-19 CXR scans. In Dataset-1, our model achieves 95.57\% average accuracy for a three classes classification, 99\% precision, recall, and F1-scores for COVID-19 cases. For Dataset-2, we have obtained 94.44\% average accuracy, and 95\% precision, recall, and F1-scores for detection of COVID-19. Our proposed multi-feature guided CNN achieves improved results compared to single-feature CNN proving the importance of the local phase-based CXR image enhancement (https://github.com/endiqq/Fus-CNNs_COVID-19).


翻译:最近,新型Corona病毒2019(COVID-19)大流行的爆发严重危及人类健康和生命,由于测试包有限,辅助诊断方法的需要有所增加,最近的研究显示,COVID-19病人的放射学,如CT和X光,载有关于COVID-19病毒的显著信息,可用作替代诊断方法。切斯特X光(CXR)由于图像时间较快、广泛可用性、成本低和可移植性得到极大关注,并变得非常有希望。由于测试包有限,需要采用精确和稳健的比较方法对病人进行快速诊断,并协助放射学家解释所收集的数据。在这项研究中,我们设计了一个新的多级多功能神经网络,从CXR图像中改进了COVI-19-19的分类。 CXRR改进了地方级图像的升级方法。 与原CXR数据一起,将增强的图像和原始的CNCN-19D精确度作为我们拟议的C-19D结构的投入。在两个图像分析研究中,我们展示了常规数据分析结果的实效。

0
下载
关闭预览

相关内容

【新书】贝叶斯网络进展与新应用,附全书下载
专知会员服务
122+阅读 · 2019年12月9日
【SIGGRAPH2019】TensorFlow 2.0深度学习计算机图形学应用
专知会员服务
41+阅读 · 2019年10月9日
Hierarchically Structured Meta-learning
CreateAMind
27+阅读 · 2019年5月22日
已删除
将门创投
5+阅读 · 2019年4月29日
人工智能 | CCF推荐期刊专刊约稿信息6条
Call4Papers
5+阅读 · 2019年2月18日
Unsupervised Learning via Meta-Learning
CreateAMind
43+阅读 · 2019年1月3日
gan生成图像at 1024² 的 代码 论文
CreateAMind
4+阅读 · 2017年10月31日
【推荐】卷积神经网络类间不平衡问题系统研究
机器学习研究会
6+阅读 · 2017年10月18日
Arxiv
13+阅读 · 2021年5月25日
Phase-aware Speech Enhancement with Deep Complex U-Net
VIP会员
相关VIP内容
【新书】贝叶斯网络进展与新应用,附全书下载
专知会员服务
122+阅读 · 2019年12月9日
【SIGGRAPH2019】TensorFlow 2.0深度学习计算机图形学应用
专知会员服务
41+阅读 · 2019年10月9日
Top
微信扫码咨询专知VIP会员