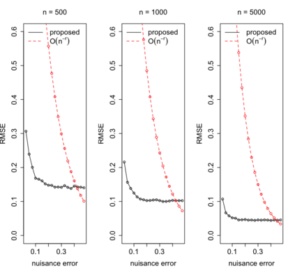
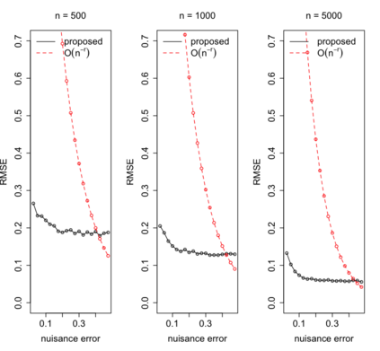
We study counterfactual regression, which aims to map input features to outcomes under hypothetical scenarios that differ from those observed in the data. This is particularly useful for decision-making when adapting to sudden shifts in treatment patterns is essential. We propose a doubly robust-style estimator for counterfactual regression within a generalizable framework that accommodates a broad class of risk functions and flexible constraints, drawing on tools from semiparametric theory and stochastic optimization. Our approach uses incremental interventions to enhance adaptability while maintaining consistency with standard methods. We formulate the target estimand as the optimal solution to a stochastic optimization problem and develop an efficient estimation strategy, where we can leverage rapid development of modern optimization algorithms. We go on to analyze the rates of convergence and characterize the asymptotic distributions. Our analysis shows that the proposed estimators can achieve $\sqrt{n}$-consistency and asymptotic normality for a broad class of problems. Numerical illustrations highlight their effectiveness in adapting to unseen counterfactual scenarios while maintaining parametric convergence rates.


翻译:暂无翻译

0
下载
关闭预览

相关内容

FlowQA: Grasping Flow in History for Conversational Machine Comprehension
专知会员服务
34+阅读 · 2019年10月18日
Stabilizing Transformers for Reinforcement Learning
专知会员服务
60+阅读 · 2019年10月17日
Keras François Chollet 《Deep Learning with Python 》, 386页pdf
专知会员服务
163+阅读 · 2019年10月12日
Hierarchically Structured Meta-learning
CreateAMind
27+阅读 · 2019年5月22日
Unsupervised Learning via Meta-Learning
CreateAMind
43+阅读 · 2019年1月3日
meta learning 17年:MAML SNAIL
CreateAMind
11+阅读 · 2019年1月2日
STRCF for Visual Object Tracking
统计学习与视觉计算组
15+阅读 · 2018年5月29日
Focal Loss for Dense Object Detection
统计学习与视觉计算组
12+阅读 · 2018年3月15日
国家自然科学基金
2+阅读 · 2017年12月31日
国家自然科学基金
13+阅读 · 2017年12月31日
国家自然科学基金
2+阅读 · 2015年12月31日
国家自然科学基金
2+阅读 · 2015年12月31日
国家自然科学基金
0+阅读 · 2014年12月31日
Arxiv
29+阅读 · 2023年1月12日
Arxiv
12+阅读 · 2022年11月21日
Relational Deep Reinforcement Learning
Arxiv
10+阅读 · 2018年6月28日
Arxiv
11+阅读 · 2018年5月21日
Arxiv
14+阅读 · 2018年5月15日
VIP会员
相关VIP内容
相关资讯
Hierarchically Structured Meta-learning
CreateAMind
27+阅读 · 2019年5月22日
Unsupervised Learning via Meta-Learning
CreateAMind
43+阅读 · 2019年1月3日
meta learning 17年:MAML SNAIL
CreateAMind
11+阅读 · 2019年1月2日
STRCF for Visual Object Tracking
统计学习与视觉计算组
15+阅读 · 2018年5月29日
Focal Loss for Dense Object Detection
统计学习与视觉计算组
12+阅读 · 2018年3月15日
相关论文
Arxiv
29+阅读 · 2023年1月12日
Arxiv
12+阅读 · 2022年11月21日
Relational Deep Reinforcement Learning
Arxiv
10+阅读 · 2018年6月28日
Arxiv
11+阅读 · 2018年5月21日
Arxiv
14+阅读 · 2018年5月15日
相关基金
国家自然科学基金
2+阅读 · 2017年12月31日
国家自然科学基金
13+阅读 · 2017年12月31日
国家自然科学基金
2+阅读 · 2015年12月31日
国家自然科学基金
2+阅读 · 2015年12月31日
国家自然科学基金
0+阅读 · 2014年12月31日
Top
微信扫码咨询专知VIP会员