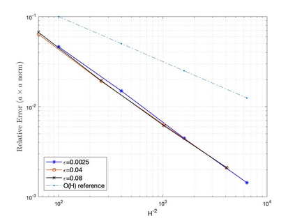
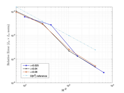
We investigate multiscale finite element methods for an elliptic distributed optimal control problem with rough coefficients. They are based on the (local) orthogonal decomposition methodology of M\aa lqvist and Peterseim.


翻译:我们用粗系数来调查极离层分布最佳控制问题的多尺度有限元素方法,这些方法基于M\aa lqvist和Peterseim的(当地)正心分解法。

0
下载
关闭预览

相关内容

【硬核书】树与网络上的概率,716页pdf
专知会员服务
77+阅读 · 2021年12月8日
【Google-Marco Cuturi】最优传输,339页ppt,Optimal Transport
专知会员服务
48+阅读 · 2021年10月26日
专知会员服务
51+阅读 · 2020年12月14日
Fariz Darari简明《博弈论Game Theory》介绍,35页ppt
专知会员服务
112+阅读 · 2020年5月15日
强化学习的Unsupervised Meta-Learning
CreateAMind
18+阅读 · 2019年1月7日
Disentangled的假设的探讨
CreateAMind
9+阅读 · 2018年12月10日
Hierarchical Disentangled Representations
CreateAMind
4+阅读 · 2018年4月15日
条件GAN重大改进!cGANs with Projection Discriminator
CreateAMind
8+阅读 · 2018年2月7日
【论文】变分推断(Variational inference)的总结
机器学习研究会
39+阅读 · 2017年11月16日
【今日新增】IEEE Trans.专刊截稿信息8条
Call4Papers
7+阅读 · 2017年6月29日
Arxiv
0+阅读 · 2021年12月30日
Arxiv
0+阅读 · 2021年12月28日
VIP会员
相关资讯
强化学习的Unsupervised Meta-Learning
CreateAMind
18+阅读 · 2019年1月7日
Disentangled的假设的探讨
CreateAMind
9+阅读 · 2018年12月10日
Hierarchical Disentangled Representations
CreateAMind
4+阅读 · 2018年4月15日
条件GAN重大改进!cGANs with Projection Discriminator
CreateAMind
8+阅读 · 2018年2月7日
【论文】变分推断(Variational inference)的总结
机器学习研究会
39+阅读 · 2017年11月16日
【今日新增】IEEE Trans.专刊截稿信息8条
Call4Papers
7+阅读 · 2017年6月29日
Top
微信扫码咨询专知VIP会员