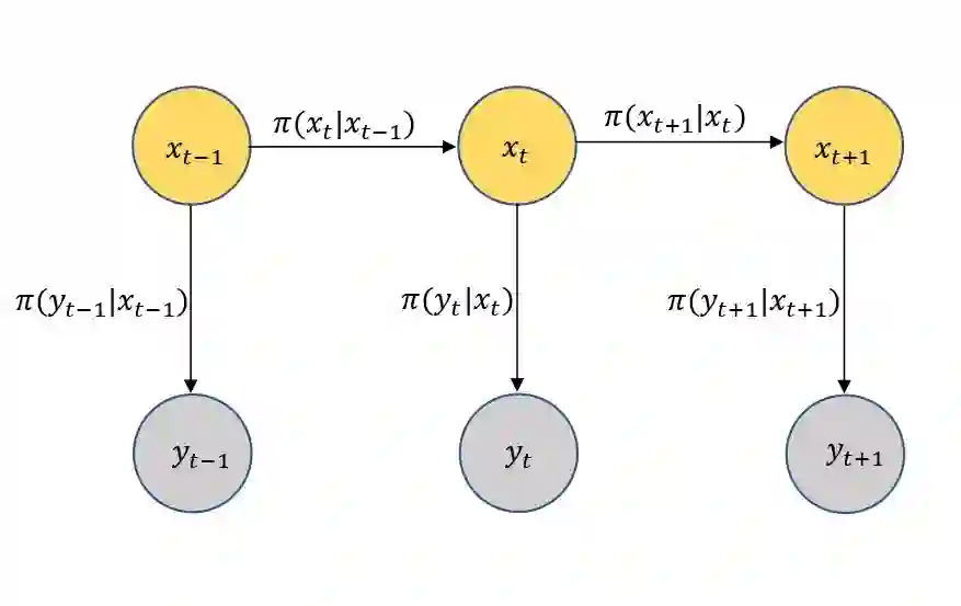
We propose an affine-mapping based variational Ensemble Kalman filter for sequential Bayesian filtering problems with generic observation models. Specifically, the proposed method is formulated as to construct an affine mapping from the prior ensemble to the posterior one, and the affine mapping is computed via a variational Bayesian formulation, i.e., by minimizing the Kullback-Leibler divergence between the transformed distribution through the affine mapping and the actual posterior. Some theoretical properties of resulting optimization problem are studied and a gradient descent scheme is proposed to solve the resulting optimization problem. With numerical examples we demonstrate that the method has competitive performance against existing methods.


翻译:我们建议为波亚州相继过滤的通用观测模型问题建立一个基于折叠图的基于变式图谱的Kalman过滤器,具体地说,拟议方法旨在构建从先前的组合图到后继模型的折叠图,通过一种变式贝亚斯式的配方,即通过尽可能缩小通过松动图和实际的后继图和后继器的变形分布之间的Kullback-Leibel差异,来计算折叠图。正在研究由此产生的优化问题的一些理论属性,并提议了一个梯度下降计划来解决由此产生的优化问题。我们用数字实例证明,该方法与现有方法相比具有竞争性性能。

0
下载
关闭预览

相关内容

卡尔曼滤波是一种高效率的递归滤波器(自回归滤波器),它能够从一系列的不完全及包含噪声的测量中,估计动态系统的状态。
专知会员服务
78+阅读 · 2021年9月27日
专知会员服务
45+阅读 · 2020年10月31日
Fariz Darari简明《博弈论Game Theory》介绍,35页ppt
专知会员服务
112+阅读 · 2020年5月15日
Stabilizing Transformers for Reinforcement Learning
专知会员服务
60+阅读 · 2019年10月17日
Hierarchically Structured Meta-learning
CreateAMind
27+阅读 · 2019年5月22日
【泡泡一分钟】基于运动估计的激光雷达和相机标定方法
泡泡机器人SLAM
25+阅读 · 2019年1月17日
【泡泡前沿追踪】跟踪SLAM前沿动态系列之IROS2018
泡泡机器人SLAM
29+阅读 · 2018年10月28日
【NIPS2018】接收论文列表
专知
5+阅读 · 2018年9月10日
Hierarchical Disentangled Representations
CreateAMind
4+阅读 · 2018年4月15日
NIPS 2017:贝叶斯深度学习与深度贝叶斯学习(讲义+视频)
机器学习研究会
36+阅读 · 2017年12月10日
【论文】变分推断(Variational inference)的总结
机器学习研究会
39+阅读 · 2017年11月16日
【学习】Hierarchical Softmax
机器学习研究会
4+阅读 · 2017年8月6日
Auto-Encoding GAN
CreateAMind
7+阅读 · 2017年8月4日
Arxiv
0+阅读 · 2021年10月26日
Arxiv
0+阅读 · 2021年10月22日
Arxiv
5+阅读 · 2017年12月14日
VIP会员
相关VIP内容
相关资讯
Hierarchically Structured Meta-learning
CreateAMind
27+阅读 · 2019年5月22日
【泡泡一分钟】基于运动估计的激光雷达和相机标定方法
泡泡机器人SLAM
25+阅读 · 2019年1月17日
【泡泡前沿追踪】跟踪SLAM前沿动态系列之IROS2018
泡泡机器人SLAM
29+阅读 · 2018年10月28日
【NIPS2018】接收论文列表
专知
5+阅读 · 2018年9月10日
Hierarchical Disentangled Representations
CreateAMind
4+阅读 · 2018年4月15日
NIPS 2017:贝叶斯深度学习与深度贝叶斯学习(讲义+视频)
机器学习研究会
36+阅读 · 2017年12月10日
【论文】变分推断(Variational inference)的总结
机器学习研究会
39+阅读 · 2017年11月16日
【学习】Hierarchical Softmax
机器学习研究会
4+阅读 · 2017年8月6日
Auto-Encoding GAN
CreateAMind
7+阅读 · 2017年8月4日
Top
微信扫码咨询专知VIP会员