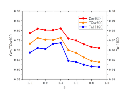
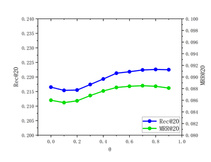
Accurate predictions in session-based recommendations have progressed, but a few studies have focused on skewed recommendation lists caused by popularity bias. Existing models for mitigating popularity bias have attempted to reduce the overconcentration of popular items by amplifying scores of less popular items. However, they normally ignore the users' different preferences toward long-tail items. Thus, we incorporate calibration, where calibrated recommendations reflect the users' interests in recommendation lists with appropriate proportions, to mitigate the popularity bias from the user's perspective. Specifically, we propose a calibration module to predict the ratio of tail items in the recommendation list from the session representation, and align it to the ongoing session. Additionally, we utilize a two-stage curriculum training strategy to improve prediction in the calibration module. Experiments on benchmark datasets show that our model can both achieve the competitive accuracy of recommendation and provide more tail items.


翻译:对届会建议所作的准确预测已经取得进展,但有些研究侧重于受欢迎偏差导致的建议列表偏差。现有的减少受欢迎偏差模式试图通过扩大少受欢迎项目的分数来减少受欢迎项目的过度集中。然而,它们通常忽视用户对长尾项目的不同偏好。因此,我们纳入了校准,其中校准建议以适当比例反映用户在建议列表中的利益,以便从用户的角度减少受欢迎偏差。具体地说,我们提议了一个校准模块,以预测来自届会代表的建议列表中的尾项目比率,并将其与正在进行的届会相匹配。此外,我们利用两阶段课程培训战略来改进校准模块的预测。基准数据集实验表明,我们的模型既可以实现建议的竞争准确性,也可以提供更多尾项目。

0
下载
关闭预览

相关内容

【KDD2020-Tutorial】自动推荐系统,Automated Recommendation System
100+篇《自监督学习(Self-Supervised Learning)》论文最新合集
专知会员服务
167+阅读 · 2020年3月18日
强化学习最新教程,17页pdf
专知会员服务
182+阅读 · 2019年10月11日
机器学习入门的经验与建议
专知会员服务
94+阅读 · 2019年10月10日
【哈佛大学商学院课程Fall 2019】机器学习可解释性
专知会员服务
105+阅读 · 2019年10月9日
VCIP 2022 Call for Demos
CCF多媒体专委会
1+阅读 · 2022年6月6日
VCIP 2022 Call for Special Session Proposals
CCF多媒体专委会
1+阅读 · 2022年4月1日
IEEE ICKG 2022: Call for Papers
机器学习与推荐算法
3+阅读 · 2022年3月30日
ACM MM 2022 Call for Papers
CCF多媒体专委会
5+阅读 · 2022年3月29日
AIART 2022 Call for Papers
CCF多媒体专委会
1+阅读 · 2022年2月13日
会议交流 | IJCKG: International Joint Conference on Knowledge Graphs
Hierarchically Structured Meta-learning
CreateAMind
27+阅读 · 2019年5月22日
Transferring Knowledge across Learning Processes
CreateAMind
29+阅读 · 2019年5月18日
LibRec 精选:推荐系统的论文与源码
LibRec智能推荐
14+阅读 · 2018年11月29日
LibRec 精选:基于LSTM的序列推荐实现(PyTorch)
LibRec智能推荐
50+阅读 · 2018年8月27日
国家自然科学基金
0+阅读 · 2013年12月31日
国家自然科学基金
0+阅读 · 2013年12月31日
国家自然科学基金
0+阅读 · 2012年12月31日
国家自然科学基金
0+阅读 · 2011年12月31日
国家自然科学基金
0+阅读 · 2009年12月31日
Arxiv
92+阅读 · 2020年2月28日
Arxiv
14+阅读 · 2018年4月18日
Arxiv
12+阅读 · 2018年1月28日
VIP会员
相关资讯
VCIP 2022 Call for Demos
CCF多媒体专委会
1+阅读 · 2022年6月6日
VCIP 2022 Call for Special Session Proposals
CCF多媒体专委会
1+阅读 · 2022年4月1日
IEEE ICKG 2022: Call for Papers
机器学习与推荐算法
3+阅读 · 2022年3月30日
ACM MM 2022 Call for Papers
CCF多媒体专委会
5+阅读 · 2022年3月29日
AIART 2022 Call for Papers
CCF多媒体专委会
1+阅读 · 2022年2月13日
会议交流 | IJCKG: International Joint Conference on Knowledge Graphs
Hierarchically Structured Meta-learning
CreateAMind
27+阅读 · 2019年5月22日
Transferring Knowledge across Learning Processes
CreateAMind
29+阅读 · 2019年5月18日
LibRec 精选:推荐系统的论文与源码
LibRec智能推荐
14+阅读 · 2018年11月29日
LibRec 精选:基于LSTM的序列推荐实现(PyTorch)
LibRec智能推荐
50+阅读 · 2018年8月27日
相关基金
国家自然科学基金
0+阅读 · 2013年12月31日
国家自然科学基金
0+阅读 · 2013年12月31日
国家自然科学基金
0+阅读 · 2012年12月31日
国家自然科学基金
0+阅读 · 2011年12月31日
国家自然科学基金
0+阅读 · 2009年12月31日
Top
微信扫码咨询专知VIP会员