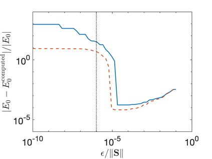
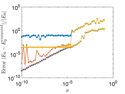
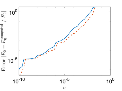
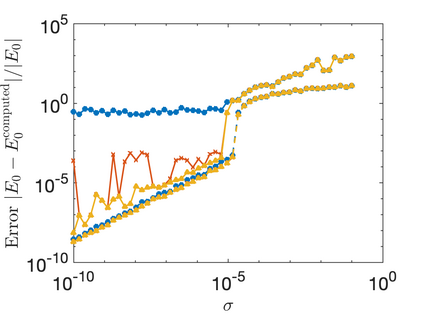
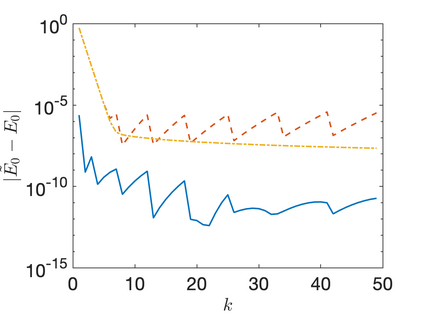
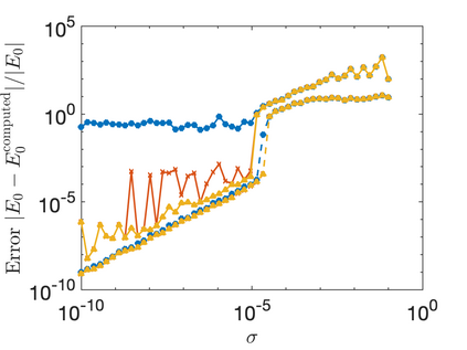
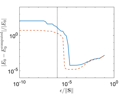
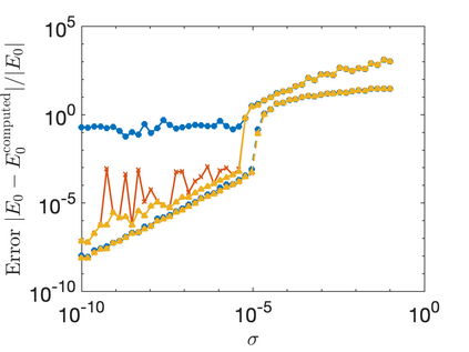
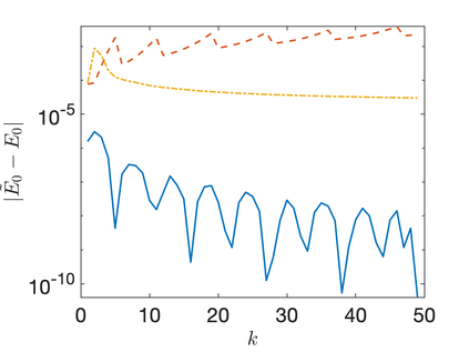
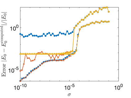
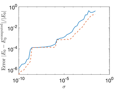
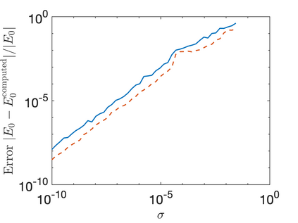
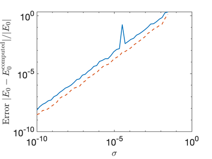
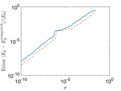
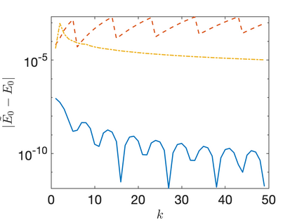
Quantum subspace diagonalization methods are an exciting new class of algorithms for solving large scale eigenvalue problems using quantum computers. Unfortunately, these methods require the solution of an ill-conditioned generalized eigenvalue problem, with a matrix pencil corrupted by a non-negligible amount of noise that is far above the machine precision. Despite pessimistic predictions from classical perturbation theories, these methods can perform reliably well if the generalized eigenvalue problem is solved using a standard truncation strategy. We provide a theoretical analysis of this surprising phenomenon, proving that under certain natural conditions, a quantum subspace diagonalization algorithm can accurately compute the smallest eigenvalue of a large Hermitian matrix. We give numerical experiments demonstrating the effectiveness of the theory and providing practical guidance for the choice of truncation level.


翻译:量子子空间二进制方法是一种令人兴奋的新型算法,用量子计算机解决大规模电子价值问题。 不幸的是,这些方法需要解决一个条件不完善的普遍电子价值问题,其基质铅笔被远远高于机器精确度的不可忽略的噪音所腐蚀。尽管古典扰动理论的悲观预测,但如果使用标准的脱轨战略解决普遍电子价值问题,这些方法可以发挥可靠的作用。我们对这种令人惊讶的现象进行了理论分析,证明在某些自然条件下,量子空间二进制算法可以准确地计算大赫米提亚矩阵最小的电子价值。我们进行数字实验,以证明理论的有效性,并为选择轨迹水平提供实用的指导。

0
下载
关闭预览

相关内容

专知会员服务
61+阅读 · 2020年3月19日
Stabilizing Transformers for Reinforcement Learning
专知会员服务
60+阅读 · 2019年10月17日
强化学习最新教程,17页pdf
专知会员服务
182+阅读 · 2019年10月11日
机器学习入门的经验与建议
专知会员服务
94+阅读 · 2019年10月10日
【哈佛大学商学院课程Fall 2019】机器学习可解释性
专知会员服务
105+阅读 · 2019年10月9日
鲁棒机器学习相关文献集
专知
8+阅读 · 2019年8月18日
Transferring Knowledge across Learning Processes
CreateAMind
29+阅读 · 2019年5月18日
CCF C类 | DSAA 2019 诚邀稿件
Call4Papers
6+阅读 · 2019年5月13日
强化学习的Unsupervised Meta-Learning
CreateAMind
18+阅读 · 2019年1月7日
Unsupervised Learning via Meta-Learning
CreateAMind
43+阅读 · 2019年1月3日
Ray RLlib: Scalable 降龙十八掌
CreateAMind
9+阅读 · 2018年12月28日
Hierarchical Disentangled Representations
CreateAMind
4+阅读 · 2018年4月15日
机器学习线性代数速查
机器学习研究会
19+阅读 · 2018年2月25日
【学习】Hierarchical Softmax
机器学习研究会
4+阅读 · 2017年8月6日
Auto-Encoding GAN
CreateAMind
7+阅读 · 2017年8月4日
Arxiv
0+阅读 · 2021年12月3日
Arxiv
0+阅读 · 2021年12月3日
Arxiv
66+阅读 · 2021年6月18日
Arxiv
4+阅读 · 2018年4月30日
Arxiv
3+阅读 · 2018年1月31日
VIP会员
相关资讯
鲁棒机器学习相关文献集
专知
8+阅读 · 2019年8月18日
Transferring Knowledge across Learning Processes
CreateAMind
29+阅读 · 2019年5月18日
CCF C类 | DSAA 2019 诚邀稿件
Call4Papers
6+阅读 · 2019年5月13日
强化学习的Unsupervised Meta-Learning
CreateAMind
18+阅读 · 2019年1月7日
Unsupervised Learning via Meta-Learning
CreateAMind
43+阅读 · 2019年1月3日
Ray RLlib: Scalable 降龙十八掌
CreateAMind
9+阅读 · 2018年12月28日
Hierarchical Disentangled Representations
CreateAMind
4+阅读 · 2018年4月15日
机器学习线性代数速查
机器学习研究会
19+阅读 · 2018年2月25日
【学习】Hierarchical Softmax
机器学习研究会
4+阅读 · 2017年8月6日
Auto-Encoding GAN
CreateAMind
7+阅读 · 2017年8月4日
相关论文
Arxiv
0+阅读 · 2021年12月3日
Arxiv
0+阅读 · 2021年12月3日
Arxiv
66+阅读 · 2021年6月18日
Arxiv
4+阅读 · 2018年4月30日
Arxiv
3+阅读 · 2018年1月31日
Top
微信扫码咨询专知VIP会员