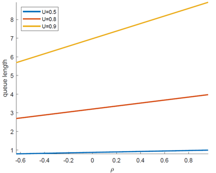
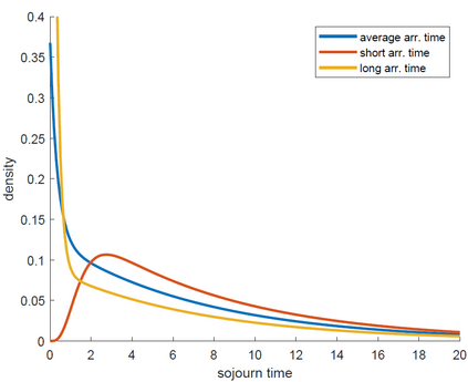
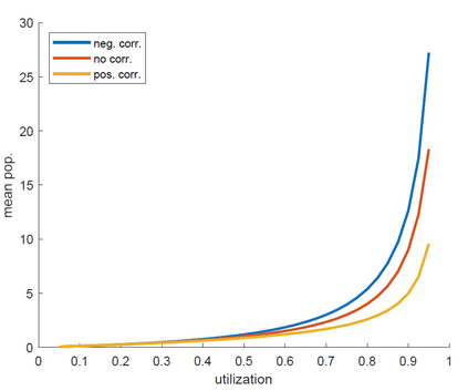
In this paper we present results for bivariate exponential distributions which are represented by phase type distributions. The paper extends results from previous publications [5, 14] on this topic by introducing new representations that require a smaller number of phases to reach some correlation coefficient and introduces different ways to describe correlation between exponentially distributed random variables. Furthermore, it is shown how Markovian Arrival Processes (MAPs) with exponential marginal distribution can be generated from the phase type representations of exponential distributions and how the results for exponential distributions can be applied to define correlated hyperexponential or Erlang distributions. As application examples we analyze two queueing models with correlated inter-arrival and service times.


翻译:在本文中,我们介绍了以阶段性分布方式表示的双变指数分布结果;本文件扩展了以前关于这一专题的出版物[5、14]的结果,引入了新的表述方式,要求较少的阶段达到某种相关系数,并采用不同方式描述指数分布随机变量之间的相互关系;此外,还展示了指数性分布分布的阶段性类型如何产生具有指数性边际分布的Markovian 抵达进程(MAPs),以及指数性分布结果如何用于界定相关超富裕分布或Erlang分布。作为应用实例,我们分析了两个与相关抵达时间和服务时间相关的排队模式。

0
下载
关闭预览

相关内容

【干货书】机器学习速查手册,135页pdf
专知会员服务
127+阅读 · 2020年11月20日
Python分布式计算,171页pdf,Distributed Computing with Python
专知会员服务
108+阅读 · 2020年5月3日
最新BERT相关论文清单,BERT-related Papers
专知会员服务
53+阅读 · 2019年9月29日
已删除
将门创投
11+阅读 · 2019年7月4日
Disentangled的假设的探讨
CreateAMind
9+阅读 · 2018年12月10日
disentangled-representation-papers
CreateAMind
26+阅读 · 2018年9月12日
Hierarchical Disentangled Representations
CreateAMind
4+阅读 · 2018年4月15日
论文浅尝 |「知识表示学习」专题论文推荐
开放知识图谱
13+阅读 · 2018年2月12日
[DLdigest-8] 每日一道算法
深度学习每日摘要
4+阅读 · 2017年11月2日
Adversarial Variational Bayes: Unifying VAE and GAN 代码
CreateAMind
7+阅读 · 2017年10月4日
【学习】Hierarchical Softmax
机器学习研究会
4+阅读 · 2017年8月6日
Auto-Encoding GAN
CreateAMind
7+阅读 · 2017年8月4日
Arxiv
0+阅读 · 2021年10月18日
Arxiv
0+阅读 · 2021年10月18日
VIP会员
相关资讯
已删除
将门创投
11+阅读 · 2019年7月4日
Disentangled的假设的探讨
CreateAMind
9+阅读 · 2018年12月10日
disentangled-representation-papers
CreateAMind
26+阅读 · 2018年9月12日
Hierarchical Disentangled Representations
CreateAMind
4+阅读 · 2018年4月15日
论文浅尝 |「知识表示学习」专题论文推荐
开放知识图谱
13+阅读 · 2018年2月12日
[DLdigest-8] 每日一道算法
深度学习每日摘要
4+阅读 · 2017年11月2日
Adversarial Variational Bayes: Unifying VAE and GAN 代码
CreateAMind
7+阅读 · 2017年10月4日
【学习】Hierarchical Softmax
机器学习研究会
4+阅读 · 2017年8月6日
Auto-Encoding GAN
CreateAMind
7+阅读 · 2017年8月4日
Top
微信扫码咨询专知VIP会员