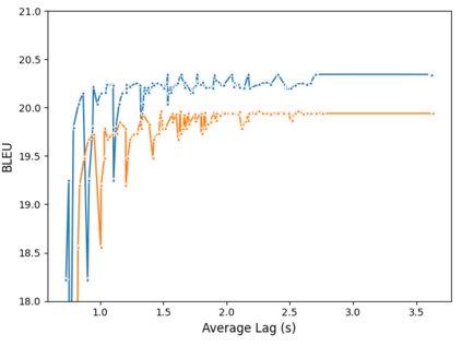
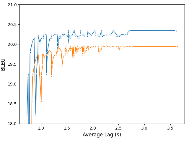
Using end-to-end models for speech translation (ST) has increasingly been the focus of the ST community. These models condense the previously cascaded systems by directly converting sound waves into translated text. However, cascaded models have the advantage of including automatic speech recognition output, useful for a variety of practical ST systems that often display transcripts to the user alongside the translations. To bridge this gap, recent work has shown initial progress into the feasibility for end-to-end models to produce both of these outputs. However, all previous work has only looked at this problem from the consecutive perspective, leaving uncertainty on whether these approaches are effective in the more challenging streaming setting. We develop an end-to-end streaming ST model based on a re-translation approach and compare against standard cascading approaches. We also introduce a novel inference method for the joint case, interleaving both transcript and translation in generation and removing the need to use separate decoders. Our evaluation across a range of metrics capturing accuracy, latency, and consistency shows that our end-to-end models are statistically similar to cascading models, while having half the number of parameters. We also find that both systems provide strong translation quality at low latency, keeping 99% of consecutive quality at a lag of just under a second.


翻译:使用端到端语言翻译模型(ST)日益成为ST社区的重点。这些模型通过直接将声波转换成翻译文本来压缩先前的级联系统。然而,级联模型的优点是,包括自动语音识别输出,这对各种实用的ST系统有用,这些系统经常在翻译的同时向用户显示记录誊本。为了缩小这一差距,最近的工作显示,在最终到端模型的可行性方面取得了初步进展,以产生这两种产出。然而,以往的所有工作都只是从连续的角度来看待这一问题,使这些方法在更具挑战性的流动设置中是否有效变得不确定。我们开发了一个端到端流模式,以再翻译方法为基础,并与标准级级联方法进行比较。我们还为联合案件引入了新的推论方法,将笔录和翻译在生成中互换,并消除了使用单独解码器的必要性。我们从一系列衡量准确性、耐久性和一致性的尺度上所作的评价表明,我们的端到端模型在统计上是否有效,在更具有挑战性的流式模型中,我们开发了一个端到端到端流模型,同时拥有了一半的精度,同时保持了99质量的一半。我们还发现两个系统在低质量下都提供。

0
下载
关闭预览

相关内容

ACM/IEEE第23届模型驱动工程语言和系统国际会议,是模型驱动软件和系统工程的首要会议系列,由ACM-SIGSOFT和IEEE-TCSE支持组织。自1998年以来,模型涵盖了建模的各个方面,从语言和方法到工具和应用程序。模特的参加者来自不同的背景,包括研究人员、学者、工程师和工业专业人士。MODELS 2019是一个论坛,参与者可以围绕建模和模型驱动的软件和系统交流前沿研究成果和创新实践经验。今年的版本将为建模社区提供进一步推进建模基础的机会,并在网络物理系统、嵌入式系统、社会技术系统、云计算、大数据、机器学习、安全、开源等新兴领域提出建模的创新应用以及可持续性。 官网链接:http://www.modelsconference.org/
【哈佛大学商学院课程Fall 2019】机器学习可解释性
专知会员服务
105+阅读 · 2019年10月9日
Hierarchically Structured Meta-learning
CreateAMind
27+阅读 · 2019年5月22日
计算机 | ISMAR 2019等国际会议信息8条
Call4Papers
3+阅读 · 2019年3月5日
IEEE | DSC 2019诚邀稿件 (EI检索)
Call4Papers
10+阅读 · 2019年2月25日
Unsupervised Learning via Meta-Learning
CreateAMind
43+阅读 · 2019年1月3日
A Technical Overview of AI & ML in 2018 & Trends for 2019
待字闺中
18+阅读 · 2018年12月24日
计算机类 | 期刊专刊截稿信息9条
Call4Papers
4+阅读 · 2018年1月26日
【计算机类】期刊专刊/国际会议截稿信息6条
Call4Papers
3+阅读 · 2017年10月13日
【学习】Hierarchical Softmax
机器学习研究会
4+阅读 · 2017年8月6日
自然语言处理(二)机器翻译 篇 (NLP: machine translation)
DeepLearning中文论坛
12+阅读 · 2015年7月1日
Arxiv
8+阅读 · 2018年11月27日
Arxiv
5+阅读 · 2018年5月28日
Arxiv
6+阅读 · 2018年1月29日
Arxiv
3+阅读 · 2015年5月16日
VIP会员
相关VIP内容
【哈佛大学商学院课程Fall 2019】机器学习可解释性
专知会员服务
105+阅读 · 2019年10月9日
相关资讯
Hierarchically Structured Meta-learning
CreateAMind
27+阅读 · 2019年5月22日
计算机 | ISMAR 2019等国际会议信息8条
Call4Papers
3+阅读 · 2019年3月5日
IEEE | DSC 2019诚邀稿件 (EI检索)
Call4Papers
10+阅读 · 2019年2月25日
Unsupervised Learning via Meta-Learning
CreateAMind
43+阅读 · 2019年1月3日
A Technical Overview of AI & ML in 2018 & Trends for 2019
待字闺中
18+阅读 · 2018年12月24日
计算机类 | 期刊专刊截稿信息9条
Call4Papers
4+阅读 · 2018年1月26日
【计算机类】期刊专刊/国际会议截稿信息6条
Call4Papers
3+阅读 · 2017年10月13日
【学习】Hierarchical Softmax
机器学习研究会
4+阅读 · 2017年8月6日
自然语言处理(二)机器翻译 篇 (NLP: machine translation)
DeepLearning中文论坛
12+阅读 · 2015年7月1日
Top
微信扫码咨询专知VIP会员