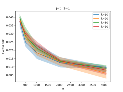
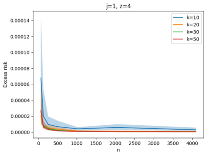
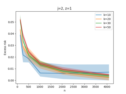
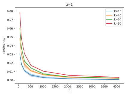
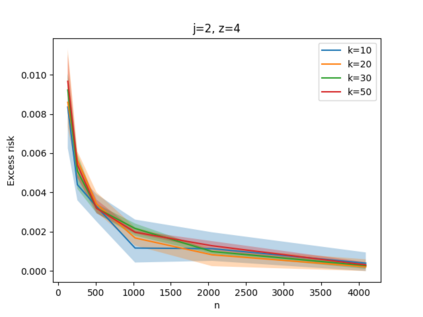
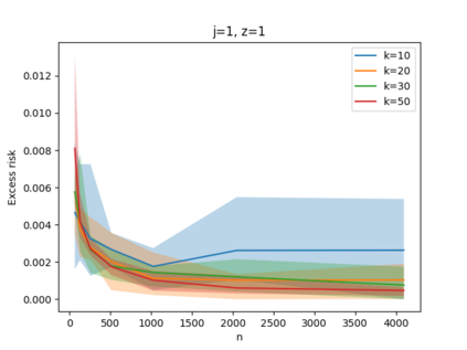
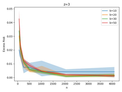
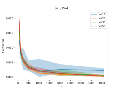
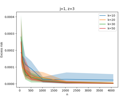
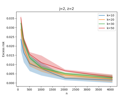
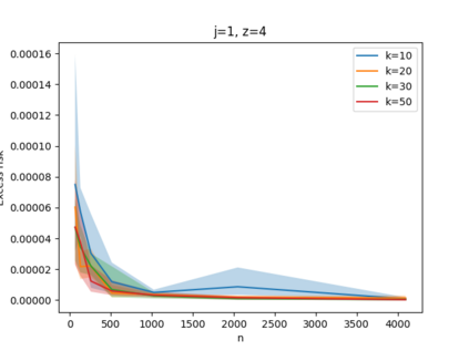
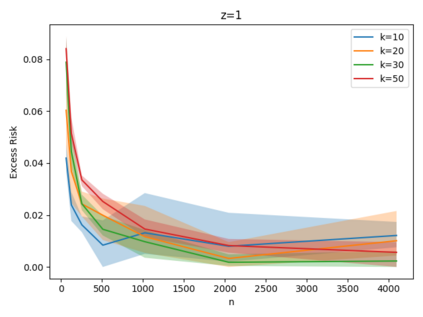
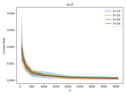
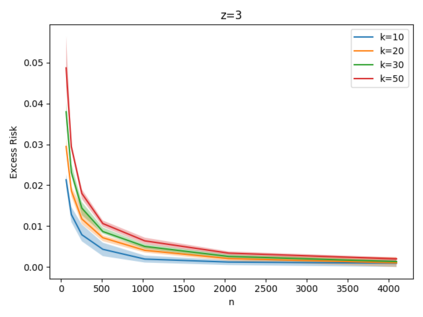
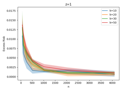
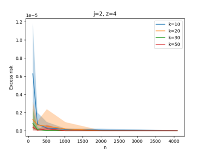
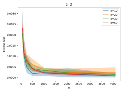
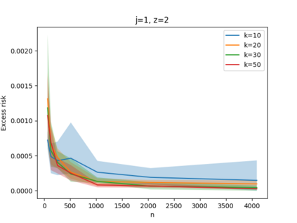
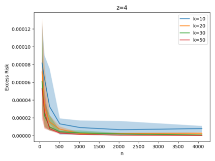
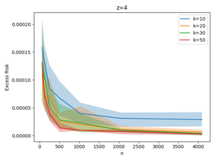
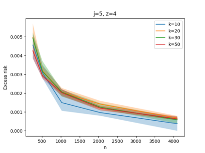
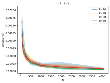
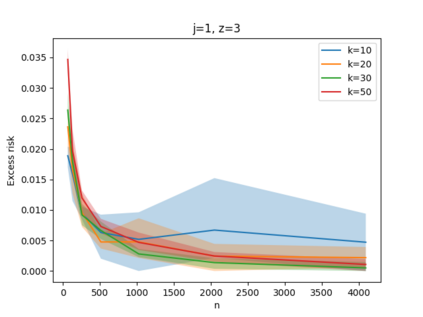
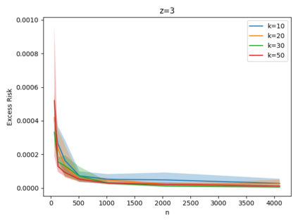
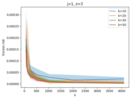
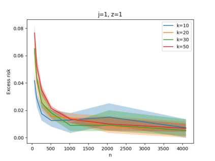
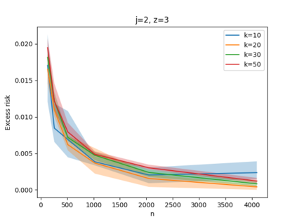
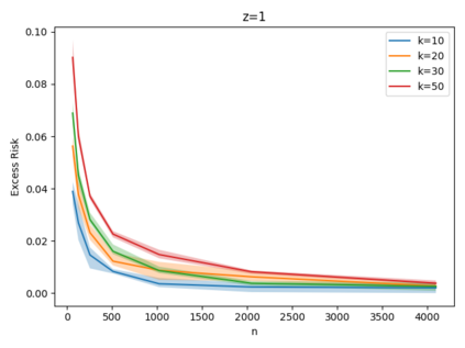
Given a set of points, clustering consists of finding a partition of a point set into $k$ clusters such that the center to which a point is assigned is as close as possible. Most commonly, centers are points themselves, which leads to the famous $k$-median and $k$-means objectives. One may also choose centers to be $j$ dimensional subspaces, which gives rise to subspace clustering. In this paper, we consider learning bounds for these problems. That is, given a set of $n$ samples $P$ drawn independently from some unknown, but fixed distribution $\mathcal{D}$, how quickly does a solution computed on $P$ converge to the optimal clustering of $\mathcal{D}$? We give several near optimal results. In particular, For center-based objectives, we show a convergence rate of $\tilde{O}\left(\sqrt{{k}/{n}}\right)$. This matches the known optimal bounds of [Fefferman, Mitter, and Narayanan, Journal of the Mathematical Society 2016] and [Bartlett, Linder, and Lugosi, IEEE Trans. Inf. Theory 1998] for $k$-means and extends it to other important objectives such as $k$-median. For subspace clustering with $j$-dimensional subspaces, we show a convergence rate of $\tilde{O}\left(\sqrt{\frac{kj^2}{n}}\right)$. These are the first provable bounds for most of these problems. For the specific case of projective clustering, which generalizes $k$-means, we show a convergence rate of $\Omega\left(\sqrt{\frac{kj}{n}}\right)$ is necessary, thereby proving that the bounds from [Fefferman, Mitter, and Narayanan, Journal of the Mathematical Society 2016] are essentially optimal.


翻译:暂无翻译

0
下载
关闭预览

相关内容

FlowQA: Grasping Flow in History for Conversational Machine Comprehension
专知会员服务
34+阅读 · 2019年10月18日
Stabilizing Transformers for Reinforcement Learning
专知会员服务
60+阅读 · 2019年10月17日
《DeepGCNs: Making GCNs Go as Deep as CNNs》
专知会员服务
31+阅读 · 2019年10月17日
Keras François Chollet 《Deep Learning with Python 》, 386页pdf
专知会员服务
163+阅读 · 2019年10月12日
【SIGGRAPH2019】TensorFlow 2.0深度学习计算机图形学应用
专知会员服务
41+阅读 · 2019年10月9日
Hierarchically Structured Meta-learning
CreateAMind
27+阅读 · 2019年5月22日
Transferring Knowledge across Learning Processes
CreateAMind
29+阅读 · 2019年5月18日
Unsupervised Learning via Meta-Learning
CreateAMind
43+阅读 · 2019年1月3日
A Technical Overview of AI & ML in 2018 & Trends for 2019
待字闺中
18+阅读 · 2018年12月24日
disentangled-representation-papers
CreateAMind
26+阅读 · 2018年9月12日
STRCF for Visual Object Tracking
统计学习与视觉计算组
15+阅读 · 2018年5月29日
Hierarchical Imitation - Reinforcement Learning
CreateAMind
19+阅读 · 2018年5月25日
Focal Loss for Dense Object Detection
统计学习与视觉计算组
12+阅读 · 2018年3月15日
IJCAI | Cascade Dynamics Modeling with Attention-based RNN
KingsGarden
13+阅读 · 2017年7月16日
From Softmax to Sparsemax-ICML16(1)
KingsGarden
74+阅读 · 2016年11月26日
国家自然科学基金
2+阅读 · 2017年12月31日
国家自然科学基金
13+阅读 · 2017年12月31日
国家自然科学基金
2+阅读 · 2015年12月31日
国家自然科学基金
0+阅读 · 2015年12月31日
国家自然科学基金
2+阅读 · 2015年12月31日
国家自然科学基金
0+阅读 · 2014年12月31日
国家自然科学基金
0+阅读 · 2014年12月31日
国家自然科学基金
0+阅读 · 2014年12月31日
国家自然科学基金
2+阅读 · 2014年12月31日
国家自然科学基金
6+阅读 · 2014年12月31日
Arxiv
0+阅读 · 2023年11月29日
Arxiv
0+阅读 · 2023年11月29日
Arxiv
0+阅读 · 2023年11月28日
Arxiv
0+阅读 · 2023年11月27日
Arxiv
0+阅读 · 2023年11月24日
Arxiv
31+阅读 · 2021年6月30日
Arxiv
11+阅读 · 2019年4月15日
VIP会员
相关资讯
Hierarchically Structured Meta-learning
CreateAMind
27+阅读 · 2019年5月22日
Transferring Knowledge across Learning Processes
CreateAMind
29+阅读 · 2019年5月18日
Unsupervised Learning via Meta-Learning
CreateAMind
43+阅读 · 2019年1月3日
A Technical Overview of AI & ML in 2018 & Trends for 2019
待字闺中
18+阅读 · 2018年12月24日
disentangled-representation-papers
CreateAMind
26+阅读 · 2018年9月12日
STRCF for Visual Object Tracking
统计学习与视觉计算组
15+阅读 · 2018年5月29日
Hierarchical Imitation - Reinforcement Learning
CreateAMind
19+阅读 · 2018年5月25日
Focal Loss for Dense Object Detection
统计学习与视觉计算组
12+阅读 · 2018年3月15日
IJCAI | Cascade Dynamics Modeling with Attention-based RNN
KingsGarden
13+阅读 · 2017年7月16日
From Softmax to Sparsemax-ICML16(1)
KingsGarden
74+阅读 · 2016年11月26日
相关论文
Arxiv
0+阅读 · 2023年11月29日
Arxiv
0+阅读 · 2023年11月29日
Arxiv
0+阅读 · 2023年11月28日
Arxiv
0+阅读 · 2023年11月27日
Arxiv
0+阅读 · 2023年11月24日
Arxiv
31+阅读 · 2021年6月30日
Arxiv
11+阅读 · 2019年4月15日
相关基金
国家自然科学基金
2+阅读 · 2017年12月31日
国家自然科学基金
13+阅读 · 2017年12月31日
国家自然科学基金
2+阅读 · 2015年12月31日
国家自然科学基金
0+阅读 · 2015年12月31日
国家自然科学基金
2+阅读 · 2015年12月31日
国家自然科学基金
0+阅读 · 2014年12月31日
国家自然科学基金
0+阅读 · 2014年12月31日
国家自然科学基金
0+阅读 · 2014年12月31日
国家自然科学基金
2+阅读 · 2014年12月31日
国家自然科学基金
6+阅读 · 2014年12月31日
Top
微信扫码咨询专知VIP会员