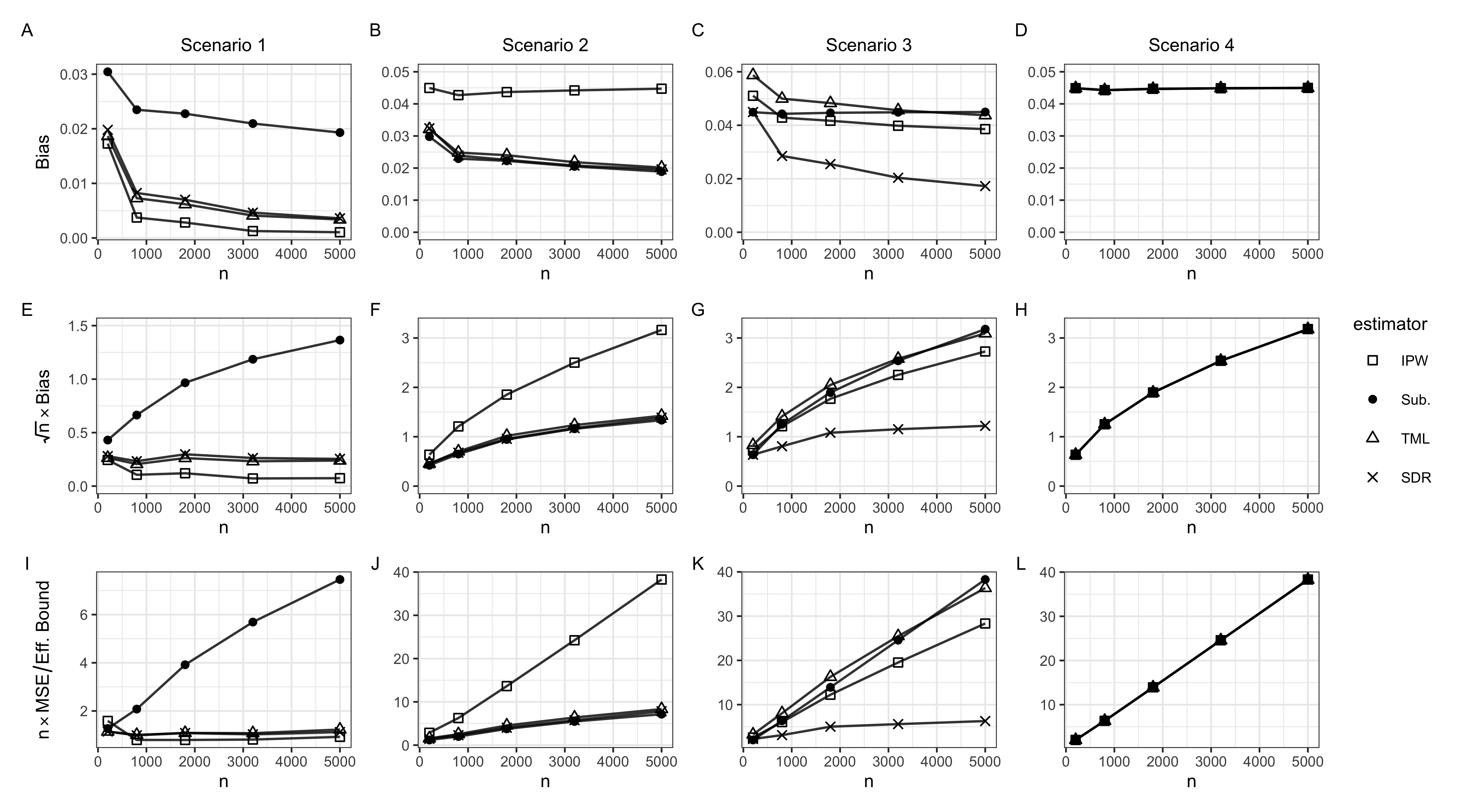
Most causal inference methods consider counterfactual variables under interventions that set the treatment deterministically. With continuous or multi-valued treatments or exposures, such counterfactuals may be of little practical interest because no feasible intervention can be implemented that would bring them about. Furthermore, violations to the positivity assumption, necessary for identification, are exacerbated with continuous and multi-valued treatments and deterministic interventions. In this paper we propose longitudinal modified treatment policies (LMTPs) as a non-parametric alternative. LMTPs can be designed to guarantee positivity, and yield effects of immediate practical relevance with an interpretation that is familiar to regular users of linear regression adjustment. We study the identification of the LMTP parameter, study properties of the statistical estimand such as the efficient influence function, and propose four different estimators. Two of our estimators are efficient, and one is sequentially doubly robust in the sense that it is consistent if, for each time point, either an outcome regression or a treatment mechanism is consistently estimated. We perform a simulation study to illustrate the properties of the estimators, and present the results of our motivating study on hypoxemia and mortality in Intensive Care Unit (ICU) patients. Software implementing our methods is provided in the form of the open source \texttt{R} package \texttt{lmtp} freely available on GitHub (\url{https://github.com/nt-williams/lmtp}).


翻译:多数因果推断方法在确定治疗的干预措施中考虑到反事实变量。在连续或多值治疗或接触的情况下,这种反事实可能没有什么实际意义,因为没有可行的干预可以实施,因此没有实际意义。此外,由于连续和多值治疗和确定性干预,对真实假设的违反(对识别而言是必要的)更加严重。在本文件中,我们建议纵向修改治疗政策(LMTPs)作为一种非参数性替代品。LMTPs的设计可以保证假设性,并产生直接实用的效应,其解释为常规用户所熟悉的线性回归调整。我们研究LMTP参数的识别,研究统计估计值的属性,例如有效影响功能,并提出四个不同的估计。我们的两个估计值是高效的,而一个是依次加倍的,也就是说,如果在每一个时间点上,结果回归或治疗机制都是一致的。我们进行了模拟研究,以说明测量器的特性,并展示了我们Giurmal-ralal-al-alligal-listalstal-stalstalstalstal oral ortiumstal exmal extistrystal exmal exmal ex ex exmoltistrystitut ex ex ex exmoltitistrol ex ex ex ex ex ex ex ex ex ex ex ex ex ex ex ex ex ex ex ex ex ex ex ex ex ex ex ex ex exmolviolviolviolviolvioltisteut ex

0
下载
关闭预览

相关内容

让 iOS 8 和 OS X Yosemite 无缝切换的一个新特性。 > Apple products have always been designed to work together beautifully. But now they may really surprise you. With iOS 8 and OS X Yosemite, you’ll be able to do more wonderful things than ever before.

Source: Apple - iOS 8
专知会员服务
42+阅读 · 2021年4月2日
注意力机制综述
专知会员服务
83+阅读 · 2021年1月26日
最新《深度学习人体姿态估计》综述论文,26页pdf
专知会员服务
40+阅读 · 2020年12月29日
Keras François Chollet 《Deep Learning with Python 》, 386页pdf
专知会员服务
161+阅读 · 2019年10月12日
强化学习最新教程,17页pdf
专知会员服务
182+阅读 · 2019年10月11日
【哈佛大学商学院课程Fall 2019】机器学习可解释性
专知会员服务
105+阅读 · 2019年10月9日
计算机 | 入门级EI会议ICVRIS 2019诚邀稿件
Call4Papers
10+阅读 · 2019年6月24日
CCF A类 | 顶级会议RTSS 2019诚邀稿件
Call4Papers
10+阅读 · 2019年4月17日
逆强化学习-学习人先验的动机
CreateAMind
16+阅读 · 2019年1月18日
A Technical Overview of AI & ML in 2018 & Trends for 2019
待字闺中
18+阅读 · 2018年12月24日
Hierarchical Disentangled Representations
CreateAMind
4+阅读 · 2018年4月15日
【学习】Hierarchical Softmax
机器学习研究会
4+阅读 · 2017年8月6日
强化学习族谱
CreateAMind
26+阅读 · 2017年8月2日
强化学习 cartpole_a3c
CreateAMind
9+阅读 · 2017年7月21日
Causal Inference for Quantile Treatment Effects
Arxiv
0+阅读 · 2021年9月8日
Parameterizing and Simulating from Causal Models
Arxiv
0+阅读 · 2021年9月8日
VIP会员
相关资讯
计算机 | 入门级EI会议ICVRIS 2019诚邀稿件
Call4Papers
10+阅读 · 2019年6月24日
CCF A类 | 顶级会议RTSS 2019诚邀稿件
Call4Papers
10+阅读 · 2019年4月17日
逆强化学习-学习人先验的动机
CreateAMind
16+阅读 · 2019年1月18日
A Technical Overview of AI & ML in 2018 & Trends for 2019
待字闺中
18+阅读 · 2018年12月24日
Hierarchical Disentangled Representations
CreateAMind
4+阅读 · 2018年4月15日
【学习】Hierarchical Softmax
机器学习研究会
4+阅读 · 2017年8月6日
强化学习族谱
CreateAMind
26+阅读 · 2017年8月2日
强化学习 cartpole_a3c
CreateAMind
9+阅读 · 2017年7月21日
Top
微信扫码咨询专知VIP会员