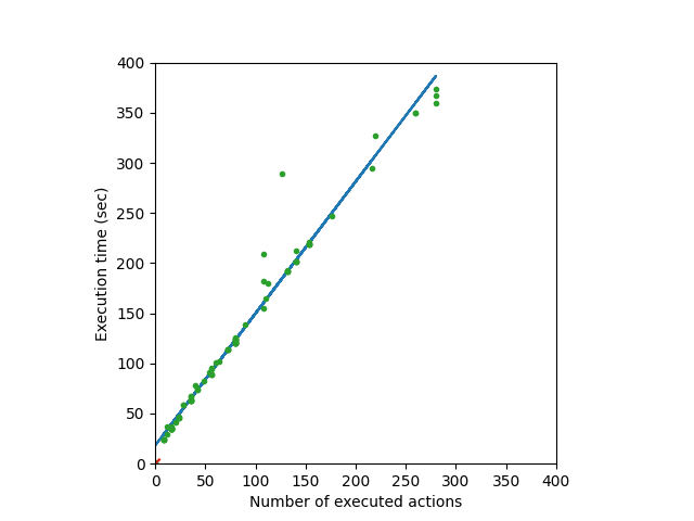
Although the security testing of Web systems can be automated by generating crafted inputs, solutions to automate the test oracle, i.e., distinguishing correct from incorrect outputs, remain preliminary. Specifically, previous work has demonstrated the potential of metamorphic testing; indeed, security failures can be determined by metamorphic relations that turn valid inputs into malicious inputs. However, without further guidance, metamorphic relations are typically executed on a large set of inputs, which is time-consuming and thus makes metamorphic testing impractical. We propose AIM, an approach that automatically selects inputs to reduce testing costs while preserving vulnerability detection capabilities. AIM includes a clustering-based black box approach, to identify similar inputs based on their security properties. It also relies on a novel genetic algorithm able to efficiently select diverse inputs while minimizing their total cost. Further, it contains a problem-reduction component to reduce the search space and speed up the minimization process. We evaluated the effectiveness of AIM on two well-known Web systems, Jenkins and Joomla, with documented vulnerabilities. We compared AIM's results with four baselines. Overall, AIM reduced metamorphic testing time by 84% for Jenkins and 82% for Joomla, while preserving vulnerability detection. Furthermore, AIM outperformed all the considered baselines regarding vulnerability coverage.


翻译:暂无翻译

0
下载
关闭预览

相关内容

医学人工智能AIM(Artificial Intelligence in Medicine)杂志发表了多学科领域的原创文章,涉及医学中的人工智能理论和实践,以医学为导向的人类生物学和卫生保健。医学中的人工智能可以被描述为与研究、项目和应用相关的科学学科,旨在通过基于知识或数据密集型的计算机解决方案支持基于决策的医疗任务,最终支持和改善人类护理提供者的性能。 官网地址:http://dblp.uni-trier.de/db/journals/artmed/
FlowQA: Grasping Flow in History for Conversational Machine Comprehension
专知会员服务
34+阅读 · 2019年10月18日
Stabilizing Transformers for Reinforcement Learning
专知会员服务
60+阅读 · 2019年10月17日
《DeepGCNs: Making GCNs Go as Deep as CNNs》
专知会员服务
31+阅读 · 2019年10月17日
Keras François Chollet 《Deep Learning with Python 》, 386页pdf
专知会员服务
161+阅读 · 2019年10月12日
【SIGGRAPH2019】TensorFlow 2.0深度学习计算机图形学应用
专知会员服务
41+阅读 · 2019年10月9日
Hierarchically Structured Meta-learning
CreateAMind
27+阅读 · 2019年5月22日
Transferring Knowledge across Learning Processes
CreateAMind
29+阅读 · 2019年5月18日
Unsupervised Learning via Meta-Learning
CreateAMind
43+阅读 · 2019年1月3日
meta learning 17年:MAML SNAIL
CreateAMind
11+阅读 · 2019年1月2日
A Technical Overview of AI & ML in 2018 & Trends for 2019
待字闺中
18+阅读 · 2018年12月24日
disentangled-representation-papers
CreateAMind
26+阅读 · 2018年9月12日
Single-Shot Object Detection with Enriched Semantics
统计学习与视觉计算组
14+阅读 · 2018年8月29日
STRCF for Visual Object Tracking
统计学习与视觉计算组
15+阅读 · 2018年5月29日
Focal Loss for Dense Object Detection
统计学习与视觉计算组
12+阅读 · 2018年3月15日
IJCAI | Cascade Dynamics Modeling with Attention-based RNN
KingsGarden
13+阅读 · 2017年7月16日
国家自然科学基金
13+阅读 · 2017年12月31日
国家自然科学基金
1+阅读 · 2015年12月31日
国家自然科学基金
1+阅读 · 2015年12月31日
国家自然科学基金
4+阅读 · 2015年12月31日
国家自然科学基金
46+阅读 · 2015年12月31日
国家自然科学基金
2+阅读 · 2015年12月31日
国家自然科学基金
2+阅读 · 2015年12月31日
国家自然科学基金
3+阅读 · 2015年12月31日
国家自然科学基金
0+阅读 · 2014年12月31日
国家自然科学基金
2+阅读 · 2014年12月31日
Arxiv
13+阅读 · 2022年4月30日
Arxiv
18+阅读 · 2019年1月16日
VIP会员
相关资讯
Hierarchically Structured Meta-learning
CreateAMind
27+阅读 · 2019年5月22日
Transferring Knowledge across Learning Processes
CreateAMind
29+阅读 · 2019年5月18日
Unsupervised Learning via Meta-Learning
CreateAMind
43+阅读 · 2019年1月3日
meta learning 17年:MAML SNAIL
CreateAMind
11+阅读 · 2019年1月2日
A Technical Overview of AI & ML in 2018 & Trends for 2019
待字闺中
18+阅读 · 2018年12月24日
disentangled-representation-papers
CreateAMind
26+阅读 · 2018年9月12日
Single-Shot Object Detection with Enriched Semantics
统计学习与视觉计算组
14+阅读 · 2018年8月29日
STRCF for Visual Object Tracking
统计学习与视觉计算组
15+阅读 · 2018年5月29日
Focal Loss for Dense Object Detection
统计学习与视觉计算组
12+阅读 · 2018年3月15日
IJCAI | Cascade Dynamics Modeling with Attention-based RNN
KingsGarden
13+阅读 · 2017年7月16日
相关基金
国家自然科学基金
13+阅读 · 2017年12月31日
国家自然科学基金
1+阅读 · 2015年12月31日
国家自然科学基金
1+阅读 · 2015年12月31日
国家自然科学基金
4+阅读 · 2015年12月31日
国家自然科学基金
46+阅读 · 2015年12月31日
国家自然科学基金
2+阅读 · 2015年12月31日
国家自然科学基金
2+阅读 · 2015年12月31日
国家自然科学基金
3+阅读 · 2015年12月31日
国家自然科学基金
0+阅读 · 2014年12月31日
国家自然科学基金
2+阅读 · 2014年12月31日
Top
微信扫码咨询专知VIP会员