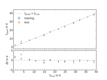
The time- or temperature-resolved detector signal from a thermoluminescence dosimeter can reveal additional information about circumstances of an exposure to ionizing irradiation. We present studies using deep neural networks to estimate the date of a single irradiation with 12 mSv within a monitoring interval of 42 days from glow curves of novel TL-DOS personal dosimeters developed by the Materialpr\"ufungsamt NRW in cooperation with TU Dortmund University. Using a deep convolutional network, the irradiation date can be predicted from raw time-resolved glow curve data with an uncertainty of roughly 1-2 days on a 68% confidence level without the need for a prior transformation into temperature space and a subsequent glow curve deconvolution. This corresponds to a significant improvement in prediction accuracy compared to a prior publication, which yielded a prediction uncertainty of 2-4 days using features obtained from a glow curve deconvolution as input to a neural network.


翻译:热光度剂量计的时间或温度溶解探测器信号可以揭示更多关于电离辐射照射情况的信息。 我们利用深神经网络开展研究,在监测期42天之内,从材料pr\"fufungsamt NRW与TU Dortmund大学合作开发的新型TL-DOS个人剂量计的发光曲线的光线曲线中估计出一个12毫西弗的单一辐照日期。使用深层革命网络,辐射日期可以从原始时间溶解的光线曲线数据中预测出来,在68%的置信度上不确定大约为1-2天,而无需事先转换到温度空间,随后的光曲线分解。这相当于预测准确性与先前的出版物相比有了显著提高,前者利用从发光曲线分解中获得的特征作为神经网络的输入,预测误差为2-4天。

0
下载
关闭预览

相关内容

Linux导论,Introduction to Linux,96页ppt
专知会员服务
82+阅读 · 2020年7月26日
可解释强化学习,Explainable Reinforcement Learning: A Survey
专知会员服务
132+阅读 · 2020年5月14日
【哈佛大学商学院课程Fall 2019】机器学习可解释性
专知会员服务
105+阅读 · 2019年10月9日
已删除
将门创投
5+阅读 · 2019年10月29日
A Technical Overview of AI & ML in 2018 & Trends for 2019
待字闺中
18+阅读 · 2018年12月24日
Learning in the Frequency Domain
Arxiv
11+阅读 · 2020年3月12日
Clustered Object Detection in Aerial Images
Arxiv
5+阅读 · 2019年8月27日
VIP会员
相关VIP内容
Linux导论,Introduction to Linux,96页ppt
专知会员服务
82+阅读 · 2020年7月26日
可解释强化学习,Explainable Reinforcement Learning: A Survey
专知会员服务
132+阅读 · 2020年5月14日
【哈佛大学商学院课程Fall 2019】机器学习可解释性
专知会员服务
105+阅读 · 2019年10月9日
相关资讯
已删除
将门创投
5+阅读 · 2019年10月29日
A Technical Overview of AI & ML in 2018 & Trends for 2019
待字闺中
18+阅读 · 2018年12月24日
Top
微信扫码咨询专知VIP会员