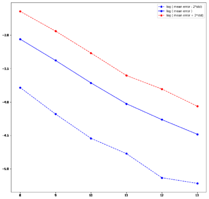
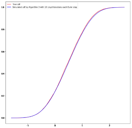
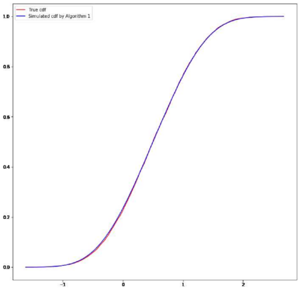
In this paper, we study three numerical schemes for the McKean-Vlasov equation \[\begin{cases} \;dX_t=b(t, X_t, \mu_t) \, dt+\sigma(t, X_t, \mu_t) \, dB_t,\: \\ \;\forall\, t\in[0,T],\;\mu_t \text{ is the probability distribution of }X_t, \end{cases}\] where $X_0$ is a known random variable. Under the assumption on the Lipschitz continuity of the coefficients $b$ and $\sigma$, our first result proves the convergence rate of the particle method with respect to the Wasserstein distance, which extends a previous work [BT97] established in one-dimensional setting. In the second part, we present and analyse two quantization-based schemes, including the recursive quantization scheme (deterministic scheme) in the Vlasov setting, and the hybrid particle-quantization scheme (random scheme, inspired by the $K$-means clustering). Two examples are simulated at the end of this paper: Burger's equation and the network of FitzHugh-Nagumo neurons in dimension 3.


翻译:在本文中,我们研究了McKan-Vlasov等式的三种数字方案 \ [\ begin{cases}\;dX_t=b(t, X_t,\mu_t)\, d\\sgma(t, X_t,\mu_t)\, dB_t;\\\\\\\\\\\Forall\, t\in[0,T]\;\mu_t\ text{是X_t,\end{cases}的概率分布,其中$X_t=0是一个已知的随机变量。在利普西茨系数的连续性假设 $b$和$\sgmas的假设下,我们的第一个结果证明了粒子方法与瓦瑟斯坦距离的趋同率,它延续了先前在一维萨洛夫设置的工程[BT97], t;在第二部分,我们介绍和分析两个基于裁量性的方案, 包括Vlasov 的递解分解方案(deministicn) 方案。在Vlasov 3 的平质阵积-qol-cal-qumal-chal-cal-cal-cal-cumation sumetal-cal-chal-cal-chalumational-chal-chmissional-cald imalpalpalpalpalpalpald imalpalpalpalpalmal-pal-pald smalmalmald 方案是3.

0
下载
关闭预览

相关内容

CASES:International Conference on Compilers, Architectures, and Synthesis for Embedded Systems。 Explanation:嵌入式系统编译器、体系结构和综合国际会议。 Publisher:ACM。 SIT: http://dblp.uni-trier.de/db/conf/cases/index.html
不可错过!《机器学习100讲》课程,UBC Mark Schmidt讲授
专知会员服务
76+阅读 · 2022年6月28日
南大《优化方法 (Optimization Methods》课程,推荐!
专知会员服务
80+阅读 · 2022年4月3日
强化学习最新教程,17页pdf
专知会员服务
182+阅读 · 2019年10月11日
AIART 2022 Call for Papers
CCF多媒体专委会
1+阅读 · 2022年2月13日
【ICIG2021】Check out the hot new trailer of ICIG2021 Symposium9
中国图象图形学学会CSIG
0+阅读 · 2021年12月17日
【ICIG2021】Check out the hot new trailer of ICIG2021 Symposium8
中国图象图形学学会CSIG
0+阅读 · 2021年11月16日
【ICIG2021】Check out the hot new trailer of ICIG2021 Symposium7
中国图象图形学学会CSIG
0+阅读 · 2021年11月15日
【ICIG2021】Check out the hot new trailer of ICIG2021 Symposium6
中国图象图形学学会CSIG
2+阅读 · 2021年11月12日
【ICIG2021】Check out the hot new trailer of ICIG2021 Symposium5
中国图象图形学学会CSIG
1+阅读 · 2021年11月11日
【ICIG2021】Check out the hot new trailer of ICIG2021 Symposium4
中国图象图形学学会CSIG
0+阅读 · 2021年11月10日
【ICIG2021】Check out the hot new trailer of ICIG2021 Symposium2
中国图象图形学学会CSIG
0+阅读 · 2021年11月8日
【ICIG2021】Check out the hot new trailer of ICIG2021 Symposium1
中国图象图形学学会CSIG
0+阅读 · 2021年11月3日
A Technical Overview of AI & ML in 2018 & Trends for 2019
待字闺中
18+阅读 · 2018年12月24日
国家自然科学基金
1+阅读 · 2015年12月31日
国家自然科学基金
0+阅读 · 2014年12月31日
国家自然科学基金
1+阅读 · 2014年12月31日
国家自然科学基金
0+阅读 · 2013年12月31日
国家自然科学基金
1+阅读 · 2012年12月31日
国家自然科学基金
0+阅读 · 2012年12月31日
国家自然科学基金
0+阅读 · 2012年12月31日
国家自然科学基金
0+阅读 · 2012年12月31日
国家自然科学基金
0+阅读 · 2011年12月31日
国家自然科学基金
0+阅读 · 2011年12月31日
Arxiv
0+阅读 · 2023年2月28日
Arxiv
0+阅读 · 2023年2月25日
VIP会员
相关资讯
AIART 2022 Call for Papers
CCF多媒体专委会
1+阅读 · 2022年2月13日
【ICIG2021】Check out the hot new trailer of ICIG2021 Symposium9
中国图象图形学学会CSIG
0+阅读 · 2021年12月17日
【ICIG2021】Check out the hot new trailer of ICIG2021 Symposium8
中国图象图形学学会CSIG
0+阅读 · 2021年11月16日
【ICIG2021】Check out the hot new trailer of ICIG2021 Symposium7
中国图象图形学学会CSIG
0+阅读 · 2021年11月15日
【ICIG2021】Check out the hot new trailer of ICIG2021 Symposium6
中国图象图形学学会CSIG
2+阅读 · 2021年11月12日
【ICIG2021】Check out the hot new trailer of ICIG2021 Symposium5
中国图象图形学学会CSIG
1+阅读 · 2021年11月11日
【ICIG2021】Check out the hot new trailer of ICIG2021 Symposium4
中国图象图形学学会CSIG
0+阅读 · 2021年11月10日
【ICIG2021】Check out the hot new trailer of ICIG2021 Symposium2
中国图象图形学学会CSIG
0+阅读 · 2021年11月8日
【ICIG2021】Check out the hot new trailer of ICIG2021 Symposium1
中国图象图形学学会CSIG
0+阅读 · 2021年11月3日
A Technical Overview of AI & ML in 2018 & Trends for 2019
待字闺中
18+阅读 · 2018年12月24日
相关基金
国家自然科学基金
1+阅读 · 2015年12月31日
国家自然科学基金
0+阅读 · 2014年12月31日
国家自然科学基金
1+阅读 · 2014年12月31日
国家自然科学基金
0+阅读 · 2013年12月31日
国家自然科学基金
1+阅读 · 2012年12月31日
国家自然科学基金
0+阅读 · 2012年12月31日
国家自然科学基金
0+阅读 · 2012年12月31日
国家自然科学基金
0+阅读 · 2012年12月31日
国家自然科学基金
0+阅读 · 2011年12月31日
国家自然科学基金
0+阅读 · 2011年12月31日
Top
微信扫码咨询专知VIP会员